Readme Typing SVG
312 字
2 分钟
浏览
BabyChem基础有机化学手写笔记
Waiting for api.github.com...
BabyChem 基础有机化学
想法
将手写笔记用 latex 写出来
进度
- 第一章
- 1.1-1.3
- 第二章
- 2.1-2.5
- 第三章
- 3.1-3.4
遇到的困难
里面全是史山代码,tex 里好多报错,不知道怎么解决,呜呜呜
全是化学式结构图,能量曲线,能级图,好难画
为了和手写笔记基本上吻合,花了很多功夫
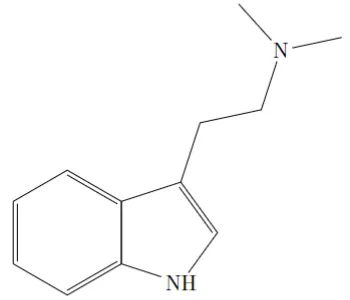
to chemfig
先看看效果吧,这是他生成的并打印出来的

\chemfig{-[:312]N(-[:12])-[:252]-[:192]-[:252]=_[:306]-[:234]\mcfbelow{N}{H}-[:162]=^[:90](-[:18])-[:150]=^[:210]-[:270]=^[:330](-[:30])}这是手写的并打印的

\chemfig{*6(-=(*5(-{N}{H}-=(-(-[::-60](-[::60]N(-[::-60])(-[::60]))))--))-=-=)}Emacs加上tochemfig.el这个插件后有很多选项功能具体查看tochemfig,不过他的代码的六元环和五元环的*6/*5 没用上,感觉不精简?也可能是我没用完整他的插件,有个注意的就是 Emacs 的复制粘贴快捷键等都不是和 win 一样的,这点有点不习惯
这个插件依赖于 python 和 mol2chemfigPy3
总得来说还是一个非常不错的软件和插件,所以我发现了宝藏,我会用他来打第一个模板,这里要致谢一下
致谢
BabyChem 基础有机化学讲解视频
文件下载
BabyChem基础有机化学手写笔记
https://benzyl-titanium.pages.dev/posts/chem/babychem/
Benzyl titanium