结构式
麻醉药品

第一类精神药品

第二类精神药品

非药用类麻醉药品和精神药品管制品种增补目录

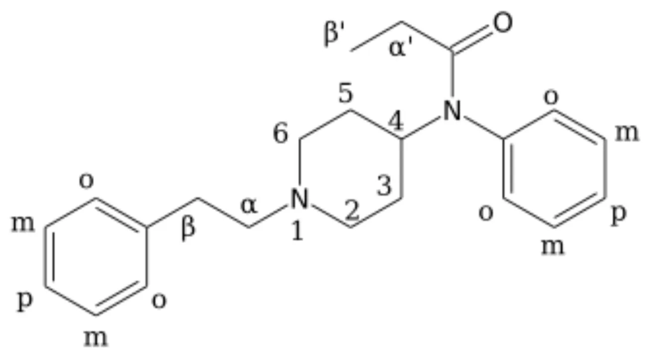
芬太尼类物质
“芬太尼类物质”是指化学结构与芬太尼(N-[1-(2-苯乙基)-4-哌啶基]-N-苯基丙酰胺)相比,符合以下一个或多个条件的物质:

一、使用其他酰基替代丙酰基;
二、使用任何取代或未取代的单环芳香基团替代与氮原子直接相连的苯基;
三、哌啶环上存在烷基、烯基、烷氧基、酯基、醚基、羟基、卤素、卤代烷基、氨基及硝基等取代基;
四、使用其他任意基团(氢原子除外)替代苯乙基。
合成大麻素类物质
“合成大麻素类物质”是指具有下列化学结构通式的物质:

R1 代表取代或未取代的 C3-C8 烃基;取代或未取代的含有 1-3 个杂原子的杂环基;取代或未取代的含有 1-3 个杂原子的杂环基取代的甲基或乙基。
R2 代表氢或甲基或无任何原子。
R3 代表取代或未取代的 C6-C10 的芳基;取代或未取代的 C3-C10 的烃基;取代或未取代的含有 1-3 个杂原子的杂环基;取代或未取代的含有 1-3 个杂原子的杂环基取代的甲基或乙基。
R4 代表氢;取代或未取代的苯基;取代或未取代的苯甲基。
R5 代表取代或未取代的 C3-C10 的烃基。
X 代表 N 或 C。
Y 代表 N 或 CH。
Z 代表 O 或 NH 或无任何原子。
尼秦类物质
尼秦类物质”是指化学结构与依托尼秦(2-[2-(4-乙氧基苄基)-5-硝基-]H-苯并咪唑-1-基]-N,N-二乙基-1-乙胺)相比,符合以下一个或多个条件的物质:
(一)使用取代或未取代的 1H-苯并咪唑基替代 5-硝基-1H-苯并咪唑基;
(二)使用取代或未取代的 C1-C2 烃基替代 1H-苯并咪唑基与苯基之间的亚甲基;
(三)使用取代或未取代的芳香基团替代 4-乙氧基苯基;
(四)使用取代或未取代的氨基替代 N,N-二乙基氨基。
软件下载
文件下载
表格
结构式
我国管制毒品目录(2025 年 7 月更新,521 种+三大类)
提示移动端打开桌面版网站才能完全显示
根据刑法、禁毒法的规定,毒品是指鸦片、海洛因、甲基苯丙胺(冰毒)、吗啡、大麻、可卡因,以及国家规定管制的其他能够使人形成瘾癖的麻醉药品和精神药品。
我国现已列管 509 种麻醉品和精神物质(包括 123 种麻醉药品、166 种精神药品、220 种非药用类麻醉药品和精神药品),整类列管芬太尼类物质、合成大麻素类物质、尼秦类物质,是世界上列管毒品最多、管制最严的国家。
- 一、《麻醉药品品种目录》(2013 年版)【121 种】
- 二、《精神药品品种目录》(2013 年版)【149 种】
- 三、含可待因复方口服液体制剂列入第二类精神药品管理(2015 年 5 月 1 日起施行)【1 种】
- 四、116 种物质列入《非药用类麻醉药品和精神药品管制品种增补目录》(2015 年 10 月 1 日起施行)【116 种】
- 五、卡芬太尼等 4 种芬太尼类物质列入《非药用类麻醉药品和精神药品管制品种增补目录》(2017 年 3 月 1 日起施行)【4 种】
- 六、N-甲基-N-(2-二甲氨基环己基)-3,4-二氯苯甲酰胺(U-47700)等 4 种物质列入《非药用类麻醉药品和精神药品管制品种增补目录》(2017 年 7 月 1 日起施行)【4 种】
- 七、4-氯乙卡西酮等 32 种物质列入《非药用类麻醉药品和精神药品管制品种增补目录》(2018 年 9 月 1 日起施行)【32 种】
- 八、芬太尼类物质列入《非药用类麻醉药品和精神药品管制品种增补目录》(2019 年 5 月 1 日起施行)【整类】
- 九、含羟考酮复方制剂等品种列入精神药品管理(2019 年 9 月 1 日起施行)【3 种】
- 十、瑞马唑仑列入第二类精神药品管理(2020 年 1 月 1 日起施行)【1 种】
- 十一、合成大麻素类物质和氟胺酮等 18 种物质列入《非药用类麻醉药品和精神药品管制品种增补目录》(2021 年 7 月 1 日起施行)【18 种+整类】
- 十二、奥赛利定列入麻醉药品目录,苏沃雷生等品种列入精神药品目录(2023 年 7 月 1 日起施行)【7 种】
- 十三、泰吉利定列入麻醉药品目录;地达西尼、依托咪酯(在中国境内批准上市的含依托咪酯的药品制剂除外)列入第二类精神药品目录(2023 年 10 月 1 日起施行)【3 种】
- 十四、右美沙芬、含地芬诺酯复方制剂、纳呋拉啡、氯卡色林列入第二类精神药品目录;将咪达唑仑原料药和注射剂由第二类精神药品调整为第一类精神药品,其它咪达唑仑单方制剂仍为第二类精神药品(2024 年 7 月 1 日起施行)【4 种】
- 十五、溴啡等 46 种物质列入《非药用类麻醉药品和精神药品管制品种增补目录》(2024 年 7 月 1 日起施行)【46 种】
- 十六、尼秦类物质和三氟乙咪酯等 12 中物质列入《非药用类麻醉药品和精神药品管制品种增补目录》(2025 年 7 月 1 日起实施)【12 种+整类】
一、《麻醉药品品种目录》(2013 年版)【121 种】
表格
| 序号 | 中文名 | 英文名 | CAS号 | 备注 | 结构式 |
| 1 | 醋托啡 | Acetorphine | 25333-77-1 | CCC[C@@](C)(O)[C@H]1C[C@]23C=C[C@]1(OC)[C@@H]1COC4=C5C(=CC=C4OC(C)=O)C[C@H]2N(C)CC[C@]513 |
|
| 2 | 乙酰阿法甲基芬太尼 | Acetyl-alpha-methylfentanyl | 101860-00-8 | CC(=O)N(C1=CC=CC=C1)C1CCN(C(C)CC2=CC=CC=C2)CC1 |
|
| 3 | 醋美沙多 | Acetylmethadol | 509-74-0 | CCC(OC(C)=O)C(CC(C)N(C)C)(C1=CC=CC=C1)C1=CC=CC=C1 |
|
| 4 | 阿芬太尼 | Alfentanil | 71195-58-9 | CCC(=O)N(C1=CC=CC=C1)C1(COC)CCN(CCN2N=NN(CC)C2=O)CC1 |
|
| 5 | 烯丙罗定 | Allylprodine | 25384-17-2 | C=CCC1CN(C)CCC1(OC(=O)CC)C1=CC=CC=C1 |
|
| 6 | 阿醋美沙多 | Alphacetylmethadol | 17199-58-5 | CC[C@@H](OC(C)=O)C(C[C@@H](C)N(C)C)(C1=CC=CC=C1)C1=CC=CC=C1 |
|
| 7 | 阿法美罗定 | Alphameprodine | 468-51-9 | CCC(=O)O[C@]1(C2=CC=CC=C2)CCN(C)C[C@H]1CC |
|
| 8 | 阿法美沙多 | Alphamethadol | 17199-54-1 | CC[C@@H](O)C(C[C@@H](C)N(C)C)(C1=CC=CC=C1)C1=CC=CC=C1 |
|
| 9 | 阿法甲基芬太尼 | Alpha-methylfentanyl | 79704-88-4 | CCC(=O)N(C1=CC=CC=C1)C1CCN(CC(O)C2=CC=CC=C2)CC1 |
|
| 10 | 阿法甲基硫代芬太尼 | Alpha-methylthiofentanyl | 103963-66-2 | CCC(=O)N(C1=CC=CC=C1)C1CCN(C(C)CC2=CC=CS2)CC1 |
|
| 11 | 阿法罗定 | Alphaprodine | 77-20-3 | CCC(=O)OC1(C2=CC=CC=C2)CCN(C)CC1C |
|
| 12 | 阿尼利定 | Anileridine | 144-14-9 | CCOC(=O)C1(C2=CC=CC=C2)CCN(CCC2=CC=C(N)C=C2)CC1 |
|
| 13 | 苄替啶 | Benzethidine | 3691-78-9 | CCOC(=O)C1(C2=CC=CC=C2)CCN(CCOCC2=CC=CC=C2)CC1 |
|
| 14 | 苄吗啡 | Benzylmorphine | 36418-34-5 | CN1CC[C@]23C4=C5O[C@H]2[C@@H](O)C=C[C@H]3[C@H]1CC4=CC=C5OCC1=CC=CC=C1 |
|
| 15 | 倍醋美沙多 | Betacetylmethadol | 17199-59-6 | CC[C@H](OC(C)=O)C(C[C@H](C)N(C)C)(C1=CC=CC=C1)C1=CC=CC=C1 |
|
| 16 | 倍他羟基芬太尼 | Beta-hydroxyfentanyl | 78995-10-5 | CCC(=O)N(C1=CC=CC=C1)C1CCN(CC(O)C2=CC=CC=C2)CC1 |
|
| 17 | 倍他羟基-3-甲基芬太尼 | Beta-hydroxy-3-methylfentanyl | 78995-14-9 | CCC(=O)N(C1=CC=CC=C1)C1CCN(CC(O)C2=CC=CC=C2)CC1C |
|
| 18 | 倍他美罗定 | Betameprodine | 468-50-8 | CCC(=O)O[C@]1(C2=CC=CC=C2)CCN(C)C[C@H]1CC |
|
| 19 | 倍他美沙多 | Betamethadol | 17199-55-2 | CC[C@H](O)C(C[C@@H](C)N(C)C)(C1=CC=CC=C1)C1=CC=CC=C1 |
|
| 20 | 倍他罗定 | Betaprodine | 468-59-7 | CCC(=O)O[C@]1(C2=CC=CC=C2)CCN(C)C[C@H]1C |
|
| 21 | 贝齐米特 | Bezitramide | 15301-48-1 | CCC(=O)N1C(=O)N(C2CCN(CCC(C#N)(C3=CC=CC=C3)C3=CC=CC=C3)CC2)C2=C1C=CC=C2 |
|
| 22 | 大麻和大麻树脂与大麻浸膏和酊 | Cannabis and Cannabis Resin and Extracts and Tinctures of Cannabis | 8063-14-7 6465-30-1 |
CCCCCC1=CC2=C(C(O)=C1)[C@@H]1C=C(C)CC[C@H]1C(C)(C)O2 |
|
| 23 | 氯尼他秦 | Clonitazene | 3861-76-5 | CCN(CC)CCN1C(CC2=CC=C(Cl)C=C2)=NC2=CC([N+](=O)[O-])=CC=C21 |
|
| 24 | 古柯叶 | Coca Leaf | |||
| 25 | 可卡因* | Cocaine | 50-36-2 | COC(=O)[C@H]1[C@@H](OC(=O)C2=CC=CC=C2)CC23[C@H](CC[C@H]12)N3C |
|
| 26 | 可多克辛 | Codoxime | 7125-76-0 | COC1=CC=C2C[C@@H]3[C@@H]4CC/C(=N\OCC(=O)O)[C@@H]5OC1=C2[C@@]54CCN3C |
|
| 27 | 罂粟浓缩物* | Concentrate of Poppy Straw | 包括罂粟果提取物*,罂粟果提取物粉* | ||
| 28 | 地索吗啡 | Desomorphine | 427-00-9 | CN1CC[C@]23C4=C5O[C@H]2CCC[C@H]3[C@H]1CC4=CC=C5O |
|
| 29 | 右吗拉胺 | Dextromoramide | 357-56-2 | C[C@H](CN1CCOCC1)C(C(=O)N1CCCC1)(C1=CC=CC=C1)C1=CC=CC=C1 |
|
| 30 | 地恩丙胺 | Diampromide | 552-25-0 | CCC(=O)N(CC(C)N(C)CCC1=CC=CC=C1)C1=CC=CC=C1 |
|
| 31 | 二乙噻丁 | Diethylthiambutene | 86-14-6 | CCN(CC)C(C)C=C(C1=CC=CS1)C1=CC=CS1 |
|
| 32 | 地芬诺辛 | Difenoxin | 28782-42-5 | N#CC(CCN1CCC(C(=O)O)(C2=CC=CC=C2)CC1)(C1=CC=CC=C1)C1=CC=CC=C1 |
|
| 33 | 二氢埃托啡* | Dihydroetorphine | 14357-76-7 | CCCC(C)(O)[C@H]1C[C@]23CC[C@]1(OC)[C@@H]1COC4=C5C(=CC=C4O)C[C@H]2N(C)CC[C@]513 |
|
| 34 | 双氢吗啡 | Dihydromorphine | 509-60-4 | CN1CC[C@]23C4=C5O[C@H]2[C@@H](O)CC[C@H]3[C@H]1CC4=CC=C5O |
|
| 35 | 地美沙多 | Dimenoxadol | 509-78-4 | CCOC(C(=O)OCCN(C)C)(C1=CC=CC=C1)C1=CC=CC=C1 |
|
| 36 | 地美庚醇 | Dimepheptanol | 545-90-4 | CCC(O)C(CC(C)N(C)C)(C1=CC=CC=C1)C1=CC=CC=C1 |
|
| 37 | 二甲噻丁 | Dimethylthiambutene | 524-84-5 | CC(C=C(C1=CC=CS1)C1=CC=CS1)N(C)C |
|
| 38 | 吗苯丁酯 | Dioxaphetyl Butyrate | 467-86-7 | CCOC(=O)C(CCN1CCOCC1)(C1=CC=CC=C1)C1=CC=CC=C1 |
|
| 39 | 地芬诺酯* | Diphenoxylate | 915-30-0 | CCOC(=O)C1(C2=CC=CC=C2)CCN(CCC(C#N)(C2=CC=CC=C2)C2=CC=CC=C2)CC1 |
|
| 40 | 地匹哌酮 | Dipipanone | 467-83-4 | CCC(=O)C(CC(C)N1CCCCC1)(C1=CC=CC=C1)C1=CC=CC=C1 |
|
| 41 | 羟蒂巴酚 | Drotebanol | 3176-03-2 | COC1=CC=C2C[C@H]3N(C)CC[C@@]4(C[C@H](O)CC[C@@]34O)C2=C1OC |
|
| 42 | 芽子碱 | Ecgonine | 481-37-8 | CN1[C@H]2CC[C@@H]3C(C(=O)O)[C@@H](O)CC231 |
|
| 43 | 乙甲噻丁 | Ethylmethylthiambutene | 441-61-2 | CCN(C)C(C)C=C(C1=CC=CS1)C1=CC=CS1 |
|
| 44 | 依托尼秦 | Etonitazene | 911-65-9 | CCOC1=CC=C(CC2=NC3=CC([N+](=O)[O-])=CC=C3N2CCN(CC)CC)C=C1 |
|
| 45 | 埃托啡 | Etorphine | 14521-96-1 | CCCC(C)(O)[C@H]1C[C@]23C=C[C@]1(OC)[C@@H]1COC4=C5C(=CC=C4O)C[C@H]2N(C)CC[C@]513 |
|
| 46 | 依托利定 | Etoxeridine | 469-82-9 | CCOC(=O)C1(C2=CC=CC=C2)CCN(CCOCCO)CC1 |
|
| 47 | 芬太尼* | Fentanyl | 437-38-7 | CCC(=O)N(C1=CC=CC=C1)C1CCN(CCC2=CC=CC=C2)CC1 |
|
| 48 | 呋替啶 | Furethidine | 2385-81-1 | CCOC(=O)C1(C2=CC=CC=C2)CCN(CCOCC2CCCO2)CC1 |
|
| 49 | 海洛因 | Heroin | 561-27-3 | CC(=O)OC1=CC=C2C[C@@H]3[C@@H]4C=C[C@H](OC(C)=O)[C@@H]5OC1=C2[C@@]54CCN3C |
|
| 50 | 氢可酮* | Hydrocodone | 125-29-1 | COC1=CC=C2C[C@@H]3[C@@H]4CCC(=O)[C@@H]5OC1=C2[C@@]54CCN3C |
|
| 51 | 氢吗啡醇 | Hydromorphinol | 2183-56-4 | CN1CC[C@]23C4=C5O[C@H]2[C@@H](O)CC[C@@]3(O)[C@H]1CC4=CC=C5O |
|
| 52 | 氢吗啡酮* | Hydromorphone | 466-99-9 | CN1CC[C@]23C4=C5O[C@H]2C(=O)CC[C@H]3[C@H]1CC4=CC=C5O |
|
| 53 | 羟哌替啶 | Hydroxypethidine | 468-56-4 | CCOC(=O)C1(C2=CC=CC(O)=C2)CCN(C)CC1 |
|
| 54 | 异美沙酮 | Isomethadone | 466-40-0 | CCC(=O)C(C1=CC=CC=C1)(C1=CC=CC=C1)C(C)CN(C)C |
|
| 55 | 凯托米酮 | Ketobemidone | 469-79-4 | CCC(=O)C1(C2=CC=CC(O)=C2)CCN(C)CC1 |
|
| 56 | 左美沙芬 | Levomethorphan | 125-70-2 | COC1=CC2=C(C=C1)C[C@@H]1[C@@H]3CCCC[C@]23CCN1C |
|
| 57 | 左吗拉胺 | Levomoramide | 5666-11-5 | C[C@@H](CN1CCOCC1)C(C(=O)N1CCCC1)(C1=CC=CC=C1)C1=CC=CC=C1 |
|
| 58 | 左芬啡烷 | Levophenacylmorphan | 10061-32-2 | O=C(CN1CC[C@]23CCCC[C@H]2[C@H]1CC1=CC=C(O)C=C13)C1=CC=CC=C1 |
|
| 59 | 左啡诺 | Levorphanol | 77-07-6 | CN1CC[C@]23CCCC[C@H]2[C@H]1CC1=CC=C(O)C=C13 |
|
| 60 | 美他佐辛 | Metazocine | 3734-52-9 | CC1C2CC3=CC=C(O)C=C3C1(C)CCN2C |
|
| 61 | 美沙酮* | Methadone | 76-99-3 | CCC(=O)C(CC(C)N(C)C)(C1=CC=CC=C1)C1=CC=CC=C1 |
|
| 62 | 美沙酮中间体 | Methadone Intermediate | 125-79-1 | 4-氰基-2-二甲氨基-4,4-二苯基丁烷 | CC(CC(C#N)(C1=CC=CC=C1)C1=CC=CC=C1)N(C)C |
| 63 | 甲地索啡 | Methyldesorphine | 16008-36-9 | CC1=CC[C@H]2[C@H]3CC4=CC=C(O)C5=C4[C@@]2(CCN3C)[C@H]1O5 |
|
| 64 | 甲二氢吗啡 | Methyldihydromorphine | 509-56-8 | CN1CC[C@]23C4=C5O[C@H]2[C@@](C)(O)CC[C@H]3[C@H]1CC4=CC=C5O |
|
| 65 | 3-甲基芬太尼 | 3-Methylfentanyl | 42045-86-3 | CCC(=O)N(C1=CC=CC=C1)C1CCN(CCC2=CC=CC=C2)CC1C |
|
| 66 | 3-甲基硫代芬太尼 | 3-Methylthiofentanyl | 86052-04-2 | CCC(=O)N(C1=CC=CC=C1)C1CCN(CCC2=CC=CS2)CC1C |
|
| 67 | 美托酮 | Mecenteron | 143-52-2 | CN1CC[C@]23C4=C5O[C@@]2(C)C(=O)CC[C@H]3[C@H]1CC4=CC=C5O |
|
| 68 | 吗拉胺中间体 | Moramide Intermediate | 3626-55-9 | 2-甲基-3-吗啉基-1,1-二苯基丁酸 | CC(CN1CCOCC1)C(C(=O)O)(C1=CC=CC=C1)C1=CC=CC=C1 |
| 69 | 吗哌利定 | Morpheridine | 469-81-8 | CCOC(=O)C1(C2=CC=CC=C2)CCN(CCN2CCOCC2)CC1 |
|
| 70 | 吗啡* | Morphine | 57-27-2 | 包括吗啡阿托品注射液* | CN1CC[C@]23C4=C5O[C@H]2[C@@H](O)C=C[C@H]3[C@H]1CC4=CC=C5O |
| 71 | 吗啡甲溴化物 | Morphine Methobromide | 125-23-5 | 包括其他五价氮吗啡衍生物,特别包括吗啡-N-氧化物,其中一种是可待因-N-氧化物 | [Br-].C[N+]1(C)CC[C@]23C4=C5O[C@H]2[C@@H](O)C=C[C@H]3[C@H]1CC4=CC=C5O |
| 72 | 吗啡-N-氧化物 | Morphine-N-oxide | 639-46-3 | C[N+]1([O-])CC[C@]23C4=C5O[C@H]2[C@@H](O)C=C[C@H]3[C@H]1CC4=CC=C5O |
|
| 73 | 1-甲基-4-苯基-4-哌啶丙酸酯 | 1-Methyl-4-phenyl-4-piperidinolpropionate (ester) | 13147-09-6 | MPPP | CCC(=O)OC1(C2=CC=CC=C2)CCN(C)CC1 |
| 74 | 麦罗啡 | Myrophine | 467-18-5 | CCCCCCCCCCCCCC(=O)O[C@H]1C=C[C@H]2[C@H]3CC4=CC=C(OCC5=CC=CC=C5)C5=C4[C@@]2(CCN3C)[C@H]1O5 |
|
| 75 | 尼可吗啡 | Nicomorphine | 639-48-5 | CN1CC[C@]23C4=C5O[C@H]2[C@@H](OC(=O)C2=CC=CN=C2)C=C[C@H]3[C@H]1CC4=CC=C5OC(=O)C1=CN=CC=C1 |
|
| 76 | 诺美沙多 | Noracymethadol | 1477-39-0 | CCC(OC(C)=O)C(CC(C)NC)(C1=CC=CC=C1)C1=CC=CC=C1 |
|
| 77 | 去甲左啡诺 | Norlevorphanol | 1531-12-0 | OC1=CC2=C(C=C1)C[C@H]1NCC[C@@]23CCCC[C@@H]13 |
|
| 78 | 去甲美沙酮 | Normethadone | 467-85-6 | CCC(=O)C(CCN(C)C)(C1=CC=CC=C1)C1=CC=CC=C1 |
|
| 79 | 去甲吗啡 | Normorphine | 466-97-7 | OC1=CC=C2C[C@H]3NCC[C@]45C2=C1O[C@H]4[C@@H](O)C=C[C@@H]35 |
|
| 80 | 诺匹哌酮 | Norpipanone | 561-48-8 | CCC(=O)C(CCN1CCCCC1)(C1=CC=CC=C1)C1=CC=CC=C1 |
|
| 81 | 阿片* | Opium | 8008-60-4 | 包括复方樟脑酊*、阿桔片* | |
| 82 | 奥列巴文 | Oripavine | 467-04-9 | COC1=CC=C2[C@H]3CC4=CC=C(O)C5=C4[C@@]2(CCN3C)[C@H]1O5 |
|
| 83 | 羟考酮* | Oxycodone | 76-42-5 | COC1=CC=C2C[C@H]3N(C)CC[C@]45C2=C1O[C@H]4C(=O)CC[C@@]35O |
|
| 84 | 羟吗啡酮 | Oxymorphone | 76-41-5 | CN1CC[C@]23C4=C5O[C@H]2C(=O)CC[C@@]3(O)[C@H]1CC4=CC=C5O |
|
| 85 | 对氟芬太尼 | Para-fluorofentanyl | 90736-23-5 | CCC(=O)N(C1=CC=C(F)C=C1)C1CCN(CCC2=CC=CC=C2)CC1 |
|
| 86 | 哌替啶* | Pethidine | 57-42-1 | CCOC(=O)C1(C2=CC=CC=C2)CCN(C)CC1 |
|
| 87 | 哌替啶中间体A | Pethidine Intermediate A | 3627-62-1 | 4-氰基-1-甲基-4-苯基哌啶 | CN1CCC(C#N)(C2=CC=CC=C2)CC1 |
| 88 | 哌替啶中间体B | Pethidine Intermediate B | 77-17-8 | 4-苯基哌啶-4-羧酸乙酯 | CCOC(=O)C1(C2=CC=CC=C2)CCNCC1 |
| 89 | 哌替啶中间体C | Pethidine Intermediate C | 3627-48-3 | 1-甲基-4-苯基哌啶-4-羧酸 | CN1CCC(C(=O)O)(C2=CC=CC=C2)CC1 |
| 90 | 苯吗庚酮 | Phenadoxone | 467-84-5 | CCC(=O)C(CC(C)N1CCOCC1)(C1=CC=CC=C1)C1=CC=CC=C1 |
|
| 91 | 非那丙胺 | Phenampromide | 129-83-9 | CCC(=O)N(C1=CC=CC=C1)C(C)CN1CCCCC1 |
|
| 92 | 非那佐辛 | Phenazocine | 127-35-5 | CC1C2CC3=CC=C(O)C=C3C1(C)CCN2CCC1=CC=CC=C1 |
|
| 93 | 1-苯乙基-4-苯基-4-哌啶乙酸酯 | 1-Phenethyl-4-phenyl-4-piperidinolacetate (ester) | 64-52-8 | PEPAP | CC(=O)OC1(C2=CC=CC=C2)CCN(CCC2=CC=CC=C2)CC1 |
| 94 | 非诺啡烷 | Phenomorphan | 468-07-5 | OC1=CC=C2C[C@@H]3[C@@H]4CCCC[C@]4(CCN3CCC3=CC=CC=C3)C2=C1 |
|
| 95 | 苯哌利定 | Phenoperidine | 562-26-5 | CCOC(=O)C1(C2=CC=CC=C2)CCN(CCC(O)C2=CC=CC=C2)CC1 |
|
| 96 | 匹米诺定 | Piminodine | 13495-09-5 | CCOC(=O)C1(C2=CC=CC=C2)CCN(CCCNC2=CC=CC=C2)CC1 |
|
| 97 | 哌腈米特 | Piritramide | 302-41-0 | N#CC(CCN1CCC(C(N)=O)(N2CCCCC2)CC1)(C1=CC=CC=C1)C1=CC=CC=C1 |
|
| 98 | 普罗庚嗪 | Proheptazine | 77-14-5 | CCC(=O)OC1(C2=CC=CC=C2)CCCN(C)CC1C |
|
| 99 | 丙哌利定 | Properidine | 561-76-2 | CC(C)OC(=O)C1(C2=CC=CC=C2)CCN(C)CC1 |
|
| 100 | 消旋甲啡烷 | Racemethorphan | 510-53-2 | COC1=CC=C2CC3C4CCCCC4(CCN3C)C2=C1 |
|
| 101 | 消旋吗拉胺 | Racemoramide | 545-59-5 | CC(CN1CCOCC1)C(C(=O)N1CCCC1)(C1=CC=CC=C1)C1=CC=CC=C1 |
|
| 102 | 消旋啡烷 | Racemorphan | 297-90-5 | CN1CC[C@]23CCCC[C@H]2[C@H]1CC1=CC=C(O)C=C13 |
|
| 103 | 瑞芬太尼* | Remifentanil | 132875-61-7 | CCC(=O)N(C1=CC=CC=C1)C1(C(=O)OC)CCN(CCC(=O)OC)CC1 |
|
| 104 | 舒芬太尼* | Sufentanil | 56030-54-7 | CCC(=O)N(C1=CC=CC=C1)C1(COC)CCN(CCC2=CC=CS2)CC1 |
|
| 105 | 醋氢可酮 | Thebacon | 466-90-0 | COC1=CC=C2C[C@@H]3[C@@H]4CC=C(OC(C)=O)[C@@H]5OC1=C2[C@@]54CCN3C |
|
| 106 | 蒂巴因* | Thebaine | 115-37-7 | COC1=CC=C2[C@H]3CC4=CC=C(OC)C5=C4[C@@]2(CCN3C)[C@H]1O5 |
|
| 107 | 硫代芬太尼 | Thiofentanyl | 1165-22-6 | CCC(=O)N(C1=CC=CC=C1)C1CCN(CCC2=CC=CS2)CC1 |
|
| 108 | 替利定 | Tilidine | 20380-58-9 | CCOC(=O)[C@]1(C2=CC=CC=C2)CCC=C[C@H]1N(C)C |
|
| 109 | 三甲利定 | Trimeperidine | 64-39-1 | CCC(=O)OC1(C2=CC=CC=C2)C[C@H](C)N(C)C[C@H]1C |
|
| 110 | 醋氢可待因 | Acetyldihydrocodeine | 3861-72-1 | COC1=CC=C2C[C@@H]3[C@@H]4CC[C@H](OC(C)=O)[C@@H]5OC1=C2[C@@]54CCN3C |
|
| 111 | 可待因* | Codeine | 76-57-3 | COC1=CC=C2C[C@@H]3[C@@H]4C=C[C@H](O)[C@@H]5OC1=C2[C@@]54CCN3C |
|
| 112 | 右丙氧芬* | Dextropropoxyphene | 469-62-5 | CCC(=O)O[C@](CC1=CC=CC=C1)(C1=CC=CC=C1)[C@H](C)CN(C)C |
|
| 113 | 双氢可待因* | Dihydrocodeine | 125-28-0 | COC1=CC=C2C[C@@H]3[C@@H]4CC[C@H](O)[C@@H]5OC1=C2[C@@]54CCN3C |
|
| 114 | 乙基吗啡* | Ethylmorphine | 76-58-4 | CCOC1=CC=C2C[C@@H]3[C@@H]4C=C[C@@H](O)[C@@H]5OC1=C2[C@]45CCN3C |
|
| 115 | 尼可待因 | Nicocodine | 3688-66-2 | CCOC1=CC=C2C[C@@H]3[C@@H]4C=C[C@@H](O)[C@@H]5OC1=C2[C@]45CCN3C |
|
| 116 | 烟氢可待因 | Nicodicodine | 808-24-2 | COC1=CC=C2C[C@@H]3[C@@H]4CC[C@H](OC(=O)C5=CC=CN=C5)[C@@H]5OC1=C2[C@@]54CCN3C |
|
| 117 | 去甲可待因 | Norcodeine | 467-15-2 | COC1=CC=C2C[C@H]3NCC[C@]45C2=C1O[C@H]4[C@@H](O)C=C[C@@H]35 |
|
| 118 | 福尔可定* | Pholcodine | 509-67-1 | CN1CC[C@]23C4=C5O[C@H]2[C@@H](O)C=C[C@H]3[C@H]1CC4=CC=C5OCCN1CCOCC1 |
|
| 119 | 丙吡兰 | Propiram | 15686-91-6 | CCC(=O)N(C1=NC=CC=C1)C(C)CN1CCCCC1 |
|
| 120 | 布桂嗪* | Bucinnazine | CCCC(=O)N1CCN(C/C=C/C2=CC=CC=C2)CC1 |
||
| 121 | 罂粟壳* | Poppy Shell |
注:1.上述品种包括其可能存在的盐和单方制剂(除非另有规定)。
2.上述品种包括其可能存在的异构体、酯及醚(除非另有规定)。
3.品种目录有*的麻醉药品为我国生产及使用的品种。
二、《精神药品品种目录》(2013 年版)【149 种】
第一类【68 种】
表格
| 序号 | 中文名 | 英文名 | CAS号 | 备注 | 结构式 |
| 1 | 布苯丙胺 | Brolamfetamine | 64638-07-9 | DOB | COC1=CC(CC(C)N)=C(OC)C=C1Br |
| 2 | 卡西酮 | Cathinone | 71031-15-7 | C[C@H](N)C(=O)C1=CC=CC=C1 |
|
| 3 | 二乙基色胺 | 3-[2-(Diethylamino)ethyl]indole | 7558-72-7 | DET | CCN(CC)CCC1=CNC2=C1C=CC=C2 |
| 4 | 二甲氧基安非他明 | (±)-2,5-Dimethoxy-alpha-methylphenethylamine | 2801-68-5 | DMA | COC1=CC=C(OC)C(CC(C)N)=C1 |
| 5 | (1,2-二甲基庚基)羟基四氢甲基二苯吡喃 | 3-(1,2-dimethylheptyl)-7,8,9,10-tetrahydro-6,6,9-trimethyl-6Hdibenzo[b,d]pyran-1-ol | 32904-22-6 | DMHP | CCCCCC(C)C(C)C1=CC2=C(C3=C(CCC(C)C3)C(C)(C)O2)C(O)=C1 |
| 6 | 二甲基色胺 | 3-[2-(Dimethylamino)ethyl]indole | 61-50-7 | DMT | CN(C)CCC1=CNC2=C1C=CC=C2 |
| 7 | 二甲氧基乙基安非他明 | (±)-4-ethyl-2,5-dimethoxy-α-methylphenethylamine | 22139-65-7 | DOET | CCC1=C(OC)C=C(CC(C)N)C(OC)=C1 |
| 8 | 乙环利定 | Eticyclidine | 2201-15-2 | PCE | CCNC1(C2=CC=CC=C2)CCCCC1 |
| 9 | 乙色胺 | Etryptamine | 2235-90-7 | CCC(N)CC1=CNC2=C1C=CC=C2 |
|
| 10 | 羟芬胺 | (±)-N-[alpha-methyl-3,4-(methylenedioxy)phenethyl]hydroxylamine | 74698-47-8 | N-hydroxy MDA | CC(CC1=CC=C2OCOC2=C1)NO |
| 11 | 麦角二乙胺 | (+)- Lysergide | 50-37-3 | LSD | CCN(CC)C(=O)[C@@H]1C=C2C3=CC=CC4=C3C(=CN4)C[C@H]2N(C)C1 |
| 12 | 乙芬胺 | (±)-N-ethyl-alpha-methyl-3,4-(methylenedioxy)phenethylamine | 82801-81-8 | N-ethyl MDA | CCNC(C)CC1=CC=C2OCOC2=C1 |
| 13 | 二亚甲基双氧安非他明 | (±)-N,alpha-dimethyl-3,4-(methylene-dioxy)phenethylamine | 42542-10-9 | MDMA | CNC(C)CC1=CC=C2OCOC2=C1 |
| 14 | 麦司卡林 | Mescaline | 54-04-6 | COC1=C(OC)C(OC)=CC(CCN)=C1 |
|
| 15 | 甲卡西酮 | Methcathinone | 5650-44-2 (右旋体),49656-78-2(右旋体盐酸盐),112117-24-5(左旋体),66514-93-0(左旋体盐酸盐). | CNC(C)C(=O)C1=CC=CC=C1 |
|
| 16 | 甲米雷司 | 4-Methylaminorex | 3568-94-3 | CC1N=C(N)OC1C1=CC=CC=C1 |
|
| 17 | 甲羟芬胺 | 5-methoxy-α-methyl-3,4-(methylenedioxy)phenethylamine | 13674-05-0 | MMDA | COC1=C2OCOC2=CC(CC(C)N)=C1 |
| 18 | 4-甲基硫基安非他明 | 4-Methylthioamfetamine | 14116-06-4 | CSC1=CC=C(CC(C)N)C=C1 |
|
| 19 | 六氢大麻酚 | Parahexyl | 117-51-1 | CCCCCCC1=CC2=C(C3=C(CCC(C)C3)C(C)(C)O2)C(O)=C1 |
|
| 20 | 副甲氧基安非他明 | P-methoxy-alpha-methylphenethylamine | 64-13-1 | PMA | COC1=CC=C(CC(C)N)C=C1 |
| 21 | 赛洛新 | Psilocine | 520-53-6 | CN(C)CCC1=CNC2=CC=CC(O)=C12 |
|
| 22 | 赛洛西宾 | Psilocybine | 520-52-5 | CN(C)CCC1=CNC2=C1C(OP(=O)(O)O)=CC=C2 |
|
| 23 | 咯环利定 | Rolicyclidine | 2201-39-0 | PHP | C1=CC=C(C2(N3CCCC3)CCCCC2)C=C1 |
| 24 | 二甲氧基甲苯异丙胺 | 2,5-Dimethoxy-alpha,4-dimethylphenethylamine | 15588-95-1 | STP | COC1=C(C)C=C(OC)C(CC(C)N)=C1 |
| 25 | 替苯丙胺 | Tenamfetamine | 4764-17-4 | MDA | CC(N)CC1=CC=C2OCOC2=C1 |
| 26 | 替诺环定 | Tenocyclidine | 21500-98-1 | TCP | C1=CSC(C2(N3CCCCC3)CCCCC2)=C1 |
| 27 | 四氢大麻酚 | Tetrahydrocannabinol | 包括同分异构体及其立体化学变体 | CCCCCC1=CC2=C(C(O)=C1)[C@@H]1C=C(C)CC[C@H]1C(C)(C)O2 |
|
| 28 | 三甲氧基安非他明 | (±)-3,4,5-Trimethoxy-alpha-methylphenethylamine | 1082-88-8 | TMA | COC1=C(OC)C(OC)=CC(CC(C)N)=C1 |
| 29 | 苯丙胺 | Amfetamine | 300-62-9 | CC(N)CC1=CC=CC=C1 |
|
| 30 | 氨奈普汀 | Amineptine | 57574-09-1 | O=C(O)CCCCCCNC1C2=C(C=CC=C2)CCC2=C1C=CC=C2 |
|
| 31 | 2,5-二甲氧基-4-溴苯乙胺 | 4-Bromo-2,5-dimethoxyphenethylamine | 66142-81-2 | 2-CB | COC1=CC(CCN)=C(OC)C=C1Br |
| 32 | 右苯丙胺 | Dexamfetamine | 51-64-9 | C[C@H](N)CC1=CC=CC=C1 |
|
| 33 | 屈大麻酚 | Dronabinol | 1972-08-3 | δ-9-四氢大麻酚及其立体化学异构体 | CCCCCC1=CC2=C(C(O)=C1)[C@@H]1C=C(C)CC[C@H]1C(C)(C)O2 |
| 34 | 芬乙茶碱 | Fenetylline | 3736-08-1 | CC(CC1=CC=CC=C1)NCCN1C=NC2=C1C(=O)N(C)C(=O)N2C |
|
| 35 | 左苯丙胺 | Levamfetamine | 156-34-3 | C[C@@H](N)CC1=CC=CC=C1 |
|
| 36 | 左甲苯丙胺 | Levomethamfetamine | 33817-09-3 | CN[C@H](C)CC1=CC=CC=C1 |
|
| 37 | 甲氯喹酮 | Mecloqualone | 340-57-8 | CC1=NC2=C(C=CC=C2)C(=O)N1C1=C(Cl)C=CC=C1 |
|
| 38 | 去氧麻黄碱 | Metamfetamine | 537-46-2 | CN[C@@H](C)CC1=CC=CC=C1 |
|
| 39 | 去氧麻黄碱外消旋体 | Metamfetamine Racemate | 7632-10-2 | CNC(C)CC1=CC=CC=C1 |
|
| 40 | 甲喹酮 | Methaqualone | 72-44-6 | CC1=C(N2C(C)=NC3=C(C=CC=C3)C2=O)C=CC=C1 |
|
| 41 | 哌醋甲酯* | Methylphenidate | 113-45-1 | COC(=O)C(C1=CC=CC=C1)C1CCCCN1 |
|
| 42 | 苯环利定 | Phencyclidine | 77-10-1 | PCP | C1=CC=C(C2(N3CCCCC3)CCCCC2)C=C1 |
| 43 | 芬美曲秦 | Phenmetrazine | 134-49-6 | CC1NCCOC1C1=CC=CC=C1 |
|
| 44 | 司可巴比妥* | Secobarbital | 76-73-3 | C=CCC1(C(C)CCC)C(=O)NC(=O)NC1=O |
|
| 45 | 齐培丙醇 | Zipeprol | 34758-83-3 | COC(CN1CCN(CC(O)C(OC)C2=CC=CC=C2)CC1)C1=CC=CC=C1 |
|
| 46 | 安非拉酮 | Amfepramone | 90-84-6 | CCN(CC)C(C)C(=O)C1=CC=CC=C1 |
|
| 47 | 苄基哌嗪 | Benzylpiperazine | 2759-28-6 | BZP | C1=CC=C(CN2CCNCC2)C=C1 |
| 48 | 丁丙诺啡* | Buprenorphine | 52485-79-7 | CO[C@]12CC[C@@]3(C[C@@H]1[C@](C)(O)C(C)(C)C)[C@H]1CC4=C5C(=C(O)C=C4)O[C@@H]2[C@]53CCN1CC1CC1 |
|
| 49 | 1-丁基-3-(1-萘甲酰基)吲哚 | 1-Butyl-3-(1-naphthoyl)Indole | 208987-48-8 | JWH-073 | CCCCN1C=C(C(=O)C2=C3C=CC=CC3=CC=C2)C2=C1C=CC=C2 |
| 50 | 恰特草 | Catha edulis Forssk | Khat | ||
| 51 | 2,5-二甲氧基-4-碘苯乙胺 | 2,5-Dimethoxy-4-iodophenethylamine | 69587-11-7 | 2C-I | COC1=CC(CCN)=C(OC)C=C1I |
| 52 | 2,5-二甲氧基苯乙胺 | 2,5-Dimethoxyphenethylamine | 3600-86-0 | 2C-H | COC1=CC=C(OC)C(CCN)=C1 |
| 53 | 二甲基安非他明 | Dimethylamfetamine | 4075-96-1 | CC(CC1=CC=CC=C1)N(C)C |
|
| 54 | 依他喹酮 | Etaqualone | 7432-25-9 | CCC1=C(N2C(C)=NC3=C(C=CC=C3)C2=O)C=CC=C1 |
|
| 55 | [1-(5-氟戊基)-1H-吲哚-3-基](2-碘苯基)甲酮 | (1-(5-Fluoropentyl)-3-(2-iodobenzoyl)indole) | 335161-03-0 | AM-694 | O=C(C1=C(I)C=CC=C1)C1=CN(CCCCCF)C2=C1C=CC=C2 |
| 56 | 1-(5-氟戊基)-3-(1-萘甲酰基)-1H-吲哚 | 1-(5-Fluoropentyl)-3-(1-naphthoyl)indole | 335161-24-5 | AM-2201 | O=C(C1=C2C=CC=CC2=CC=C1)C1=CN(CCCCCF)C2=C1C=CC=C2 |
| 57 | γ-羟丁酸* | Gamma-hydroxybutyrate | 591-81-1 | GHB | O=C(O)CCCO |
| 58 | 氯胺酮* | Ketamine | 6740-88-1 | CNC1(C2=C(Cl)C=CC=C2)CCCCC1=O |
|
| 59 | 马吲哚* | Mazindol | 22232-71-9 | OC1(C2=CC=C(Cl)C=C2)C2=C(C=CC=C2)C2=NCCN21 |
|
| 60 | 2-(2-甲氧基苯基)-1-(1-戊基-1H-吲哚-3-基)乙酮 | 2-(2-Methoxyphenyl)-1-(1-pentyl-1H-indol-3-yl)ethanone | 864445-43-2 | JWH-250 | CCCCCN1C=C(C(=O)CC2=C(OC)C=CC=C2)C2=C1C=CC=C2 |
| 61 | 亚甲基二氧吡咯戊酮 | Methylenedioxypyrovalerone | 687603-66-3 | MDPV | CCCC(C(=O)C1=CC=C2OCOC2=C1)N1CCCC1 |
| 62 | 4-甲基乙卡西酮 | 4-Methylethcathinone | 1225617-18-4 | 4-MEC | CCNC(C)C(=O)C1=CC=C(C)C=C1 |
| 63 | 4-甲基甲卡西酮 | 4-Methylmethcathinone | 5650-44-2 | 4-MMC | CNC(C)C(=O)C1=CC=C(C)C=C1 |
| 64 | 3,4-亚甲二氧基甲卡西酮 | 3,4-Methylenedioxy-N-methylcathinone | 186028-79-5 | Methylone | CNC(C)C(=O)C1=CC=C2OCOC2=C1 |
| 65 | 莫达非尼 | Modafinil | 68693-11-8 | NC(=O)CS(=O)C(C1=CC=CC=C1)C1=CC=CC=C1 |
|
| 66 | 1-戊基-3-(1-萘甲酰基)吲哚 | 1-Pentyl-3- (1-naphthoyl) indole | 209414-07-3 | JWH-018 | CCCCCN1C=C(C(=O)C2=C3C=CC=CC3=CC=C2)C2=C1C=CC=C2 |
| 67 | 他喷他多 | Tapentadol | 175591-23-8 | CC[C@@H](C1=CC=CC(O)=C1)[C@@H](C)CN(C)C |
|
| 68 | 三唑仑* | Triazolam | 28911-01-5 | CC1=NN=C2CN=C(C3=C(Cl)C=CC=C3)C3=CC(Cl)=CC=C3N12 |
第二类【81 种】
表格
| 序号 | 中文名 | 英文名 | CAS号 | 备注 | 结构式 |
| 1 | 异戊巴比妥* | Amobarbital | 57-43-2 | CCC1(CCC(C)C)C(=O)NC(=O)NC1=O |
|
| 2 | 布他比妥 | Butalbital | 77-26-9 | C=CCC1(CC(C)C)C(=O)NC(=O)NC1=O |
|
| 3 | 去甲伪麻黄碱 | Cathine | 492-39-7 | C[C@H](N)[C@@H](O)C1=CC=CC=C1 |
|
| 4 | 环己巴比妥 | Cyclobarbital | 52-31-3 | CCC1(C2=CCCCC2)C(=O)NC(=O)NC1=O |
|
| 5 | 氟硝西泮 | Flunitrazepam | 1622-62-4 | CN1C(=O)CN=C(C2=C(F)C=CC=C2)C2=CC([N+](=O)[O-])=CC=C21 |
|
| 6 | 格鲁米特* | Glutethimide | 77-21-4 | CCC1(C2=CC=CC=C2)CCC(=O)NC1=O |
|
| 7 | 喷他佐辛* | Pentazocine | 55643-30-6 | CC(C)=CCN1CCC2(C)CC1CC1=CC=C(O)C=C12 |
|
| 8 | 戊巴比妥* | Pentobarbital | 76-74-4 | CCCC(C)C1(CC)C(=O)NC(=O)NC1=O |
|
| 9 | 阿普唑仑* | Alprazolam | 28981-97-7 | CC1=NN=C2CN=C(C3=CC=CC=C3)C3=CC(Cl)=CC=C3N12 |
|
| 10 | 阿米雷司 | Aminorex | 2207-50-3 | NC1=NCC(C2=CC=CC=C2)O1 |
|
| 11 | 巴比妥* | Barbital | 57-44-3 | CCC1(CC)C(=O)NC(=O)NC1=O |
|
| 12 | 苄非他明 | Benzfetamine | 156-08-1 | C[C@@H](CC1=CC=CC=C1)N(C)CC1=CC=CC=C1 |
|
| 13 | 溴西泮 | Bromazepam | 1812-30-2 | O=C1CN=C(C2=NC=CC=C2)C2=CC(Br)=CC=C2N1 |
|
| 14 | 溴替唑仑 | Brotizolam | 57801-81-7 | O=C1CN=C(C2=NC=CC=C2)C2=CC(Br)=CC=C2N1 |
|
| 15 | 丁巴比妥 | Butobarbital | 77-28-1 | CCCCC1(CC)C(=O)NC(=O)NC1=O |
|
| 16 | 卡马西泮 | Camazepam | 36104-80-0 | CN(C)C(=O)OC1N=C(C2=CC=CC=C2)C2=CC(Cl)=CC=C2N(C)C1=O |
|
| 17 | 氯氮䓬 | Chlordiazepoxide | 58-25-3 | C/N=C1/CN(O)C(C2=CC=CC=C2)=C2C=C(Cl)C=CC2=N1 |
|
| 18 | 氯巴占 | Clobazam | 22316-47-8 | CN1C(=O)CC(=O)N(C2=CC=CC=C2)C2=CC(Cl)=CC=C21 |
|
| 19 | 氯硝西泮* | Clonazepam | 1622-61-3 | O=C1CN=C(C2=C(Cl)C=CC=C2)C2=CC([N+](=O)[O-])=CC=C2N1 |
|
| 20 | 氯拉䓬酸 | Clorazepate | 23887-31-2 | O=C(O)C1N=C(C2=CC=CC=C2)C2=CC(Cl)=CC=C2NC1=O |
|
| 21 | 氯噻西泮 | Clotiazepam | 33671-46-4 | CCC1=CC2=C(S1)N(C)C(=O)CN=C2C1=C(Cl)C=CC=C1 |
|
| 22 | 氯噁唑仑 | Cloxazolam | 24166-13-0 | O=C1CN2CCOC2(C2=C(Cl)C=CC=C2)C2=CC(Cl)=CC=C2N1 |
|
| 23 | 地洛西泮 | Delorazepam | 2894-67-9 | O=C1CN=C(C2=C(Cl)C=CC=C2)C2=CC(Cl)=CC=C2N1 |
|
| 24 | 地西泮* | Diazepam | 439-14-5 | 安定 | CN1C(=O)CN=C(C2=CC=CC=C2)C2=CC(Cl)=CC=C21 |
| 25 | 艾司唑仑* | Estazolam | 29975-16-4 | ClC1=CC=C2C(=C1)C(C1=CC=CC=C1)=NCC1=NN=CN21 |
|
| 26 | 乙氯维诺 | Ethchlorvynol | 113-18-8 | C#CC(O)(/C=C/Cl)CC |
|
| 27 | 炔己蚁胺 | Ethinamate | 126-52-3 | C#CC1(OC(N)=O)CCCCC1 |
|
| 28 | 氯氟䓬乙酯 | Ethyl Loflazepate | 29177-84-2 | CCOC(=O)C1N=C(C2=C(F)C=CC=C2)C2=CC(Cl)=CC=C2NC1=O |
|
| 29 | 乙非他明 | Etilamfetamine | 457-87-4 | CCNC(C)CC1=CC=CC=C1 |
|
| 30 | 芬坎法明 | Fencamfamin | 1209-98-9 | CCNC1C2CCC(C2)C1C1=CC=CC=C1 |
|
| 31 | 芬普雷司 | Fenproporex | 16397-28-7 | CC(CC1=CC=CC=C1)NCCC#N |
|
| 32 | 氟地西泮 | Fludiazepam | 3900-31-0 | CN1C(=O)CN=C(C2=C(F)C=CC=C2)C2=CC(Cl)=CC=C21 |
|
| 33 | 氟西泮* | Flurazepam | 17617-23-1 | CCN(CC)CCN1C(=O)CN=C(C2=C(F)C=CC=C2)C2=CC(Cl)=CC=C21 |
|
| 34 | 哈拉西泮 | Halazepam | 23092-17-3 | O=C1CN=C(C2=CC=CC=C2)C2=CC(Cl)=CC=C2N1CC(F)(F)F |
|
| 35 | 卤沙唑仑 | Haloxazolam | 59128-97-1 | O=C1CN2CCOC2(C2=C(F)C=CC=C2)C2=CC(Br)=CC=C2N1 |
|
| 36 | 凯他唑仑 | Ketazolam | 27223-35-4 | CC1=CC(=O)N2CC(=O)N(C)C3=CC=C(Cl)C=C3C2(C2=CC=CC=C2)O1 |
|
| 37 | 利非他明 | Lefetamine | 7262-75-1 | SPA | CN(C)[C@H](CC1=CC=CC=C1)C1=CC=CC=C1 |
| 38 | 氯普唑仑 | Loprazolam | 61197-73-7 | CN1CCN(/C=C2\N=C3CN=C(C4=CC=CC=C4Cl)C4=CC([N+](=O)[O-])=CC=C4N3C2=O)CC1 |
|
| 39 | 劳拉西泮* | Lorazepam | 846-49-1 | O=C1NC2=CC=C(Cl)C=C2C(C2=C(Cl)C=CC=C2)=NC1O |
|
| 40 | 氯甲西泮 | Lormetazepam | 848-75-9 | CN1C(=O)C(O)N=C(C2=C(Cl)C=CC=C2)C2=CC(Cl)=CC=C21 |
|
| 41 | 美达西泮 | Medazepam | 2898-12-6 | CN1CCN=C(C2=CC=CC=C2)C2=CC(Cl)=CC=C21 |
|
| 42 | 美芬雷司 | Mefenorex | 17243-57-1 | CC(CC1=CC=CC=C1)NCCCCl |
|
| 43 | 甲丙氨酯* | Meprobamate | 57-53-4 | CCCC(C)(COC(N)=O)COC(N)=O |
|
| 44 | 美索卡 | Mesocarb | 34262-84-5 | CC(CC1=CC=CC=C1)[N+]1=NOC(/N=C(\[O-])NC2=CC=CC=C2)=C1 |
|
| 45 | 甲苯巴比妥 | Methylphenobarbital | 115-38-8 | CCC1(C2=CC=CC=C2)C(=O)NC(=O)N(C)C1=O |
|
| 46 | 甲乙哌酮 | Methyprylon | 125-64-4 | CCC1(CC)C(=O)NCC(C)C1=O |
|
| 47 | 咪达唑仑* | Midazolam | 59467-70-8 | CC1=NC=C2CN=C(C3=C(F)C=CC=C3)C3=CC(Cl)=CC=C3N21 |
|
| 48 | 尼美西泮 | Nimetazepam | 2011-67-8 | CN1C(=O)CN=C(C2=CC=CC=C2)C2=CC([N+](=O)[O-])=CC=C21 |
|
| 49 | 硝西泮* | Nitrazepam | 146-22-5 | O=C1CN=C(C2=CC=CC=C2)C2=CC([N+](=O)[O-])=CC=C2N1 |
|
| 50 | 去甲西泮 | Nordazepam | 1088-11-5 | O=C1CN=C(C2=CC=CC=C2)C2=CC(Cl)=CC=C2N1 |
|
| 51 | 奥沙西泮* | Oxazepam | 604-75-1 | CC1CN2CC(=O)NC3=CC=C(Cl)C=C3C2(C2=CC=CC=C2)O1 |
|
| 52 | 奥沙唑仑 | Oxazolam | 24143-17-7 | O=C1NC2=CC=C(Cl)C=C2C(C2=CC=CC=C2)=NC1O |
|
| 53 | 匹莫林* | Pemoline | 2152-34-3 | NC1=NC(=O)C(C2=CC=CC=C2)O1 |
|
| 54 | 苯甲曲秦 | Phendimetrazine | 634-03-7 | C[C@H]1[C@H](C2=CC=CC=C2)OCCN1C |
|
| 55 | 苯巴比妥* | Phenobarbital | 50-06-6 | CCC1(C2=CC=CC=C2)C(=O)NC(=O)NC1=O |
|
| 56 | 芬特明 | Phentermine | 122-09-8 | CC(C)(N)CC1=CC=CC=C1 |
|
| 57 | 匹那西泮 | Pinazepam | 52463-83-9 | C#CCN1C(=O)CN=C(C2=CC=CC=C2)C2=CC(Cl)=CC=C21 |
|
| 58 | 哌苯甲醇 | Pipradrol | 467-60-7 | OC(C1=CC=CC=C1)(C1=CC=CC=C1)C1CCCCN1 |
|
| 59 | 普拉西泮 | Prazepam | 2955-38-6 | O=C1CN=C(C2=CC=CC=C2)C2=CC(Cl)=CC=C2N1CC1CC1 |
|
| 60 | 吡咯戊酮 | Pyrovalerone | 3563-49-3 | CCCC(C(=O)C1=CC=C(C)C=C1)N1CCCC1 |
|
| 61 | 仲丁比妥 | Secbutabarbital | 125-40-6 | CCC(C)C1(CC)C(=O)NC(=O)NC1=O |
|
| 62 | 替马西泮 | Temazepam | 846-50-4 | CN1C(=O)C(O)N=C(C2=CC=CC=C2)C2=CC(Cl)=CC=C21 |
|
| 63 | 四氢西泮 | Tetrazepam | 10379-14-3 | CN1C(=O)CN=C(C2=CCCCC2)C2=CC(Cl)=CC=C21 |
|
| 64 | 乙烯比妥 | Vinylbital | 2430-49-1 | C=CC1(C(C)CCC)C(=O)NC(=O)NC1=O |
|
| 65 | 唑吡坦* | Zolpidem | 82626-48-0 | CC1=CC=C(C2=C(CC(=O)N(C)C)N3C=C(C)C=CC3=N2)C=C1 |
|
| 66 | 阿洛巴比妥 | Allobarbital | 52-43-7 | C=CCC1(C(=O)NC(=O)NC1=O)CC=C |
|
| 67 | 丁丙诺啡透皮贴剂* | Buprenorphine Transdermal patch | |||
| 68 | 布托啡诺及其注射剂* | Butorphanol and its injection | 42408-82-2 | OC1=CC2=C(C=C1)C[C@H]1N(CC3CCC3)CC[C@@]23CCCC[C@@]13O |
|
| 69 | 咖啡因* | Caffeine | 58-08-2 | CN1C(=O)C2=C(N=CN2C)N(C)C1=O |
|
| 70 | 安钠咖* | Caffeine Sodium Benzoate | CNB | CN1C(=O)C2=C(N=CN2C)N(C)C1=O.[Na+].O=C([O-])C1=CC=CC=C1 |
|
| 71 | 右旋芬氟拉明 | Dexfenfluramine | 3239-44-9 | CCN[C@@H](C)CC1=CC=CC(C(F)(F)F)=C1 |
|
| 72 | 地佐辛及其注射剂* | Dezocine and Its Injection | 53648-55-8 | C[C@@]12CCCCC[C@@H](CC3=CC=C(O)C=C31)[C@@H]2N |
|
| 73 | 麦角胺咖啡因片* | Ergotamine and Caffeine Tablet | 379-79-3 | CN1CC(C(=O)N[C@]2(C)O[C@@]3(O)[C@@H]4CCCN4C(=O)[C@H](CC4=CC=CC=C4)N3C2=O)C=C2C3=CC=CC4=C3C(=CN4)C[C@H]21.CN1CC(C(=O)N[C@]2(C)O[C@@]3(O)[C@@H]4CCCN4C(=O)[C@H](CC4=CC=CC=C4)N3C2=O)C=C2C3=CC=CC4=C3C(=CN4)C[C@H]21.O=C(O)[C@H](O)[C@@H](O)C(=O)O |
|
| 74 | 芬氟拉明 | Fenfluramine | 458-24-2 | CCNC(C)CC1=CC=CC(C(F)(F)F)=C1 |
|
| 75 | 呋芬雷司 | Furfennorex | 3776-93-0 | CC(CC1=CC=CC=C1)N(C)CC1=CC=CO1 |
|
| 76 | 纳布啡及其注射剂 | Nalbuphine and its injection | 20594-83-6 | OC1=CC=C2C[C@H]3N(CC4CCC4)CC[C@]45C2=C1O[C@H]4[C@@H](O)CC[C@@]35O |
|
| 77 | 氨酚氢可酮片* | Paracetamol andHydrocodone Bitartrate Tablet | |||
| 78 | 丙己君 | Propylhexedrine | 101-40-6 | CNC(C)CC1CCCCC1 |
|
| 79 | 曲马多* | Tramadol | 27203-92-5 | COC1=CC=CC([C@@]2(O)CCCC[C@@H]2CN(C)C)=C1 |
|
| 80 | 扎来普隆* | Zaleplon | 151319-34-5 | CCN(C(C)=O)C1=CC(C2=CC=NC3=C(C#N)C=NN23)=CC=C1 |
|
| 81 | 佐匹克隆 | Zopiclone | 43200-80-2 | CN1CCN(C(=O)OC2C3=C(N=CC=N3)C(=O)N2C2=CC=C(Cl)C=N2)CC1 |
注:1.上述品种包括其可能存在的盐和单方制剂(除非另有规定)。
2.上述品种包括其可能存在的异构体(除非另有规定)。
3.品种目录有*的精神药品为我国生产及使用的品种。
三、含可待因复方口服液体制剂列入第二类精神药品管理(2015 年 5 月 1 日起施行)【1 种】
食品药品监管总局 公安部 国家卫生计生委关于将含可待因复方口服液体制剂列入第二类精神药品管理的公告(2015 年第 10 号)
根据《麻醉药品和精神药品管理条例》的有关规定,食品药品监管总局、公安部、国家卫生计生委决定将含可待因复方口服液体制剂(包括口服溶液剂、糖浆剂)列入第二类精神药品管理。
本公告自 2015 年 5 月 1 日起实行。
四、116 种物质列入《非药用类麻醉药品和精神药品管制品种增补目录》(2015 年 10 月 1 日起施行)【116 种】
表格
| 序号 | 中文名 | 英文名 | CAS号 | 备注 | 结构式 |
| 1 | N-(2-甲氧基苄基)-2-(2,5-二甲氧基-4-溴苯基)乙胺 | 2-(4-Bromo-2,5-dimethoxyphenyl)-N-(2-methoxybenzyl)ethanamine | 1026511-90-9 | 2C-B-NBOMe | COC1=CC(CCNCC2=C(OC)C=CC=C2)=C(OC)C=C1Br |
| 2 | 2,5-二甲氧基-4-氯苯乙胺 | 4-Chloro-2,5-dimethoxyphenethylamine | 88441-14-9 | 2C-C | COC1=CC(CCN)=C(OC)C=C1Cl |
| 3 | N-(2-甲氧基苄基)-2-(2,5-二甲氧基-4-氯苯基)乙胺 | 2-(4-Chloro-2,5-dimethoxyphenyl)-N-(2-methoxybenzyl)ethanamine | 1227608-02-7 | 2C-C-NBOMe | COC1=CC(CCNCC2=C(OC)C=CC=C2)=C(OC)C=C1Cl |
| 4 | 2,5-二甲氧基-4-甲基苯乙胺 | 4-Methyl-2,5-dimethoxyphenethylamine | 24333-19-5 | 2C-D | COC1=CC(CCN)=C(OC)C=C1C |
| 5 | N-(2-甲氧基苄基)-2-(2,5-二甲氧基-4-甲基苯基)乙胺 | 2-(4-Methyl-2,5-dimethoxyphenyl)-N-(2-methoxybenzyl)ethanamine | 1354632-02-2 | 2C-D-NBOMe | COC1=CC(CCNCC2=C(OC)C=CC=C2)=C(OC)C=C1C |
| 6 | 2,5-二甲氧基-4-乙基苯乙胺 | 4-Ethyl-2,5-dimethoxyphenethylamine | 71539-34-9 | 2C-E | CCC1=CC(OC)=C(CCN)C=C1OC |
| 7 | N-(2-甲氧基苄基)-2-(2,5-二甲氧基-4-碘苯基)乙胺 | 2-(4-Iodo-2,5-dimethoxyphenyl)-N-(2-methoxybenzyl)ethanamine | 919797-19-6 | 2C-I-NBOMe | COC1=CC(CCNCC2=C(OC)C=CC=C2)=C(OC)C=C1I |
| 8 | 2,5-二甲氧基-4-丙基苯乙胺 | 4-Propyl-2,5-dimethoxyphenethylamine | 207740-22-5 | 2C-P | CCCC1=C(OC)C=C(CCN)C(OC)=C1 |
| 9 | 2,5-二甲氧基-4-乙硫基苯乙胺 | 4-Ethylthio-2,5-dimethoxyphenethylamine | 207740-24-7 | 2C-T-2 | CCSC1=CC(OC)=C(CCN)C=C1OC |
| 10 | 2,5-二甲氧基-4-异丙基硫基苯乙胺 | 4-Isopropylthio-2,5-dimethoxyphenethylamine | 207740-25-8 | 2C-T-4 | COC1=C(CCN)C=C(OC)C(SC(C)C)=C1 |
| 11 | 2,5-二甲氧基-4-丙硫基苯乙胺 | 4-Propylthio-2,5-dimethox-phenethylamine | 207740-26-9 | 2C-T-7 | CCCSC1=CC(OC)=C(CCN)C=C1OC |
| 12 | 2-氟苯丙胺 | 1-(2-Fluorophenyl)propan-2-amine | 1716-60-5 | 2-FA | CC(N)CC1=C(F)C=CC=C1 |
| 13 | 2-氟甲基苯丙胺 | N-Methyl-1-(2-fluorophenyl)propan-2-amine | 1017176-48-5 | 2-FMA | CNC(C)CC1=C(F)C=CC=C1 |
| 14 | 1-(2-苯并呋喃基)-N-甲基-2-丙胺 | N-Methyl-1-(benzofuran-2-yl)propan-2-amine | 806596-15-6 | 2-MAPB | CNC(C)CC1=CC2=C(C=CC=C2)O1 |
| 15 | 3-氟苯丙胺 | 1-(3-Fluorophenyl)propan-2-amine | 1626-71-7 | 3-FA | CC(N)CC1=CC=CC(F)=C1 |
| 16 | 3-氟甲基苯丙胺 | N-Methyl-1-(3-fluorophenyl)propan-2-amine | 1182818-14-9 | 3-FMA | CNC(C)CC1=CC=CC(F)=C1 |
| 17 | 4-氯苯丙胺 | 1-(4-Chlorophenyl)propan-2-amine | 64-12-0 | 4-CA | CC(N)CC1=CC=C(Cl)C=C1 |
| 18 | 4-氟苯丙胺 | 1-(4-Fluorophenyl)propan-2-amine | 459-02-9 | 4-FA | CC(N)CC1=CC=C(F)C=C1 |
| 19 | 4-氟甲基苯丙胺 | N-Methyl-1-(4-fluorophenyl)propan-2-amine | 351-03-1 | 4-FMA | CNC(C)CC1=CC=C(F)C=C1 |
| 20 | 1-[5-(2,3-二氢苯并呋喃基)]-2-丙胺 | 1-(2,3-Dihydro-1-benzofuran-5-yl)propan-2-amine | 152624-03-8 | 5-APDB | CC(N)CC1=CC=C2OCCC2=C1 |
| 21 | 1-(5-苯并呋喃基)-N-甲基-2-丙胺 | N-Methyl-1-(benzofuran-5-yl)propan-2-amine | 1354631-77-8 | 5-MAPB | CNC(C)CC1=CC=C2OC=CC2=C1 |
| 22 | 6-溴-3,4-亚甲二氧基甲基苯丙胺 | N-Methyl-(6-bromo-3,4-methylenedioxyphenyl)propan-2-amine | 6-Br-MDMA | CNC(C)CC1=C(Br)C=C2OCOC2=C1 |
|
| 23 | 6-氯-3,4-亚甲二氧基甲基苯丙胺 | N-Methyl-(6-chloro-3,4-methylenedioxyphenyl)propan-2-amine | 319920-71-3 | 6-Cl-MDMA | CNC(C)CC1=C(Cl)C=C2OCOC2=C1 |
| 24 | 1-(2,5-二甲氧基-4-氯苯基)-2-丙胺 | 1-(4-Chloro-2,5-dimethoxyphenyl)propan-2-amine | 123431-31-2 | DOC | COC1=CC(CC(C)N)=C(OC)C=C1Cl |
| 25 | 1-(2-噻吩基)-N-甲基-2-丙胺 | N-Methyl-1-(thiophen-2-yl)propan-2-amine | 801156-47-8 | MPA | CNC(C)CC1=CC=CS1 |
| 26 | N-(1-氨甲酰基-2-甲基丙基)-1-(5-氟戊基)吲哚-3-甲酰胺 | N-(1-Amino-3-methyl-1-oxobutan-2-yl)-1-(5-fluoropentyl)-1H-indole-3-carboxamide | 1801338-26-0 | 5F-ABICA | CC(C)[C@H](NC(=O)C1=CN(CCCCCF)C2=C1C=CC=C2)C(N)=O |
| 27 | N-(1-氨甲酰基-2-甲基丙基)-1-(5-氟戊基)吲唑-3-甲酰胺 | N-(1-Amino-3-methyl-1-oxobutan-2-yl)-1-(5-fluoropentyl)-1H-indazole-3-carboxamide | 1800101-60-3 | 5F-AB-PINACA | CC(C)[C@@H](C(=O)N)NC(=O)C1=NN(C2=CC=CC=C21)CCCCCF |
| 28 | N-(1-氨甲酰基-2,2-二甲基丙基)-1-(5-氟戊基)吲哚-3-甲酰胺 | N-(1-Amino-3,3-dimethyl-1-oxobutan-2-yl)-1-(5-fluoropentyl)-1H-indole-3-carboxamide | 1801338-27-1 | 5F-ADBICA | CC(C)[C@H](NC(=O)C1=NN(CCCCCF)C2=C1C=CC=C2)C(N)=O |
| 29 | N-(1-甲氧基羰基-2-甲基丙基)-1-(5-氟戊基)吲唑-3-甲酰胺 | 1-Methoxy-3-methyl-1-oxobutan-2-yl-1-(5-fluoropentyl)-1H-indazole-3-carboxamide | 1715016-74-2 | 5F-AMB | CC(C)(C)[C@H](NC(=O)C1=CN(CCCCCF)C2=C1C=CC=C2)C(N)=O |
| 30 | N-(1-金刚烷基)-1-(5-氟戊基)吲唑-3-甲酰胺 | N-(1-Adamantyl)-1-(5-fluoropentyl)-1H-indazole-3-carboxamide | 1400742-13-3 | 5F-APINACA | COC(=O)C(NC(=O)C1=NN(CCCCCF)C2=C1C=CC=C2)C(C)C |
| 31 | 1-(5-氟戊基)吲哚-3-甲酸-8-喹啉酯 | Quinolin-8-yl 1-(5-fluoropentyl)-1H-indole-3-carboxylate | 1400742-41-7 | 5F-PB-22 | O=C(NC12CC3CC(CC(C3)C1)C2)C1=NN(CCCCCF)C2=C1C=CC=C2 |
| 32 | 1-(5-氟戊基)-3-(2,2,3,3-四甲基环丙甲酰基)吲哚 | (1-(5-Fluoropentyl)-1H-indol-3-yl)(2,2,3,3-tetramethylcyclopropyl)methanone | 1364933-54-9 | 5F-UR-144 | O=C(OC1=C2N=CC=CC2=CC=C1)C1=CN(CCCCCF)C2=C1C=CC=C2 |
| 33 | 1-[2-(N-吗啉基)乙基]-3-(2,2,3,3-四甲基环丙甲酰基)吲哚 | (1-(2-Morpholin-4-ylethyl)-1H-indol-3-yl)(2,2,3,3-tetramethylcyclopropyl)methanone | 895155-26-7 | A-796,260 | CC1(C)C(C(=O)C2=CN(CCCCCF)C3=C2C=CC=C3)C1(C)C |
| 34 | 1-(4-四氢吡喃基甲基)-3-(2,2,3,3-四甲基环丙甲酰基)吲哚 | (1-(Tetrahydropyran-4-ylmethyl)-1H-indol-3-yl)(2,2,3,3-tetramethylcyclopropyl)methanone | 895155-57-4 | A-834,735 | CC1(C)C(C(=O)C2=CN(CCN3CCOCC3)C3=C2C=CC=C3)C1(C)C |
| 35 | N-(1-氨甲酰基-2-甲基丙基)-1-(环己基甲基)吲唑-3-甲酰胺 | N-(1-Amino-3-methyl-1-oxobutan-2-yl)-1-(cyclohexylmethyl)-1H-indazole-3-carboxamide | 1185887-21-1 | AB-CHMINACA | CC1(C)C(C(=O)C2=CN(CC3CCOCC3)C3=C2C=CC=C3)C1(C)C |
| 36 | N-(1-氨甲酰基-2-甲基丙基)-1-(4-氟苄基)吲唑-3-甲酰胺 | N-(1-Amino-3-methyl-1-oxobutan-2-yl)-1-(4-fluorobenzyl)-1H-indazole-3-carboxamide | 1629062-56-1 | AB-FUBINACA | CC(C)[C@H](NC(=O)C1=NN(CC2CCCCC2)C2=C1C=CC=C2)C(N)=O |
| 37 | N-(1-氨甲酰基-2-甲基丙基)-1-戊基吲唑-3-甲酰胺 | N-(1-Amino-3-methyl-1-oxobutan-2-yl)-1-pentyl-1H-indazole-3-carboxamide | 1445583-20-9 | AB-PINACA | CC(C)C(NC(=O)C1=NN(CC2=CC=C(F)C=C2)C2=C1C=CC=C2)C(N)=O |
| 38 | N-(1-氨甲酰基-2,2-二甲基丙基)-1-戊基吲哚-3-甲酰胺 | N-(1-Amino-3,3-dimethyl-1-oxobutan-2-yl)-1-pentyl-1H-indole-3-carboxamide | 1445583-48-1 | ADBICA | CCCCCN1N=C(C(=O)NC(C(N)=O)C(C)C)C2=C1C=CC=C2 |
| 39 | N-(1-氨甲酰基-2,2-二甲基丙基)-1-戊基吲唑-3-甲酰胺 | N-(1-Amino-3,3-dimethyl-1-oxobutan-2-yl)-1-pentyl-1H-indazole-3-carboxamide | 1633766-73-0 | ADB-PINACA | CCCCCN1C=C(C(=O)NC(C(N)=O)C(C)(C)C)C2=C1C=CC=C2 |
| 40 | 1-[(N-甲基-2-哌啶基)甲基]-3-(1-萘甲酰基)吲哚 | (1-((1-Methylpiperidin-2-yl)methyl)-1H-indol-3-yl)(naphthalen-1-yl)methanone | 137642-54-7 | AM-1220 | CN1CCCCC1CN1C=C(C(=O)C2=CC=CC3=C2C=CC=C3)C2=C1C=CC=C2 |
| 41 | 1-[(N-甲基-2-哌啶基)甲基]-3-(1-金刚烷基甲酰基)吲哚 | (1-((1-Methylpiperidin-2-yl)methyl)-1H-indol-3-yl)(adamantan-1-yl)methanone | 335160-66-2 | AM-1248 | CN1CCCCC1CN1C=C(C(=O)C23CC4CC(CC(C4)C2)C3)C2=C1C=CC=C2 |
| 42 | 1-[(N-甲基-2-哌啶基)甲基]-3-(2-碘苯甲酰基)吲哚 | (1-((1-Methylpiperidin-2-yl)methyl)-1H-indol-3-yl)(2-iodophenyl)methanone | 444912-75-8 | AM-2233 | CN1CCCCC1CN1C=C(C(=O)C2=C(I)C=CC=C2)C2=C1C=CC=C2 |
| 43 | N-(1-金刚烷基)-1-戊基吲哚-3-甲酰胺 | N-(1-Adamantyl)-1-pentyl-1H-indole-3-carboxamide | 1345973-50-3 | APICA | CCCCCN1C=C(C(=O)NC23CC4CC(CC(C4)C2)C3)C2=C1C=CC=C2 |
| 44 | N-(1-金刚烷基)-1-戊基吲唑-3-甲酰胺 | N-(1-Adamantyl)-1-pentyl-1H-indazole-3-carboxamide | 1345973-53-6 | APINACA | CCCCCN1N=C(C(=O)NC23CC4CC(CC(C4)C2)C3)C2=C1C=CC=C2 |
| 45 | 1-(1-萘甲酰基)-4-戊氧基萘 | (4-Pentyloxynaphthalen-1-yl)(naphthalen-1-yl)methanone | 432047-72-8 | CB-13 | CCCCCOC1=C2C=CC=CC2=C(C(=O)C2=C3C=CC=CC3=CC=C2)C=C1 |
| 46 | N-(1-甲基-1-苯基乙基)-1-(4-四氢吡喃基甲基)吲唑-3-甲酰胺 | N-(2-Phenylpropan-2-yl)-1-(tetrahydropyran-4-ylmethyl)-1H-indazole-3-carboxamide | 1400742-50-8 | CUMYL-THPINACA | CC(C)(NC(=O)C1=NN(CC2CCOCC2)C2=CC=CC=C12)C1=CC=CC=C1 |
| 47 | 1-(5-氟戊基)-3-(4-乙基-1-萘甲酰基)吲哚 | (1-(5-Fluoropentyl)-1H-indol-3-yl)(4-ethylnaphthalen-1-yl)methanone | 1364933-60-7 | EAM-2201 | CCC1=C2C=CC=CC2=C(C(=O)C2=CN(CCCCCF)C3=C2C=CC=C3)C=C1 |
| 48 | 1-(4-氟苄基)-3-(1-萘甲酰基)吲哚 | (1-(4-Fluorobenzyl)-1H-indol-3-yl)(naphthalen-1-yl)methanone | FUB-JWH-018 | O=C(C1=C2C=CC=CC2=CC=C1)C1=CN(CC2=CC=C(F)C=C2)C2=C1C=CC=C2 |
|
| 49 | 1-(4-氟苄基)吲哚-3-甲酸-8-喹啉酯 | Quinolin-8-yl1-(4-fluorobenzyl)-1H-indole-3-carboxylate | 1800098-36-5 | FUB-PB-22 | O=C(OC1=C2N=CC=CC2=CC=C1)C1=CN(CC2=CC=C(F)C=C2)C2=C1C=CC=C2 |
| 50 | 2-甲基-1-戊基-3-(1-萘甲酰基)吲哚 | (2-Methyl-1-pentyl-1H-indol-3-yl)(naphthalen-1-yl)methanone | 155471-10-6 | JWH-007 | CCCCCN1C(C)=C(C(=O)C2=CC=CC3=C2C=CC=C3)C2=C1C=CC=C2 |
| 51 | 2-甲基-1-丙基-3-(1-萘甲酰基)吲哚 | (2-Methyl-1-propyl-1H-indol-3-yl)(naphthalen-1-yl)methanone | 155471-08-2 | JWH-015 | CCCN1C(=C(C2=CC=CC=C21)C(=O)C3=CC=CC4=CC=CC=C43)C |
| 52 | 1-己基-3-(1-萘甲酰基)吲哚 | (1-Hexyl-1H-indol-3-yl)(naphthalen-1-yl)methanone | 209414-08-4 | JWH-019 | CCCCCCN1C=C(C(=O)C2=CC=CC3=C2C=CC=C3)C2=C1C=CC=C2 |
| 53 | 1-戊基-3-(4-甲氧基-1-萘甲酰基)吲哚 | (1-Pentyl-1H-indol-3-yl)(4-methoxynaphthalen-1-yl)methanone | 210179-46-7 | JWH-081 | CCCCCN1C=C(C(=O)C2=C3C=CC=CC3=C(OC)C=C2)C2=C1C=CC=C2 |
| 54 | 1-戊基-3-(4-甲基-1-萘甲酰基)吲哚 | (1-Pentyl-1H-indol-3-yl)(4-methylnaphthalen-1-yl)methanone | 619294-47-2 | JWH-122 | CCCCCN1C=C(C(=O)C2=C3C=CC=CC3=C(C)C=C2)C2=C1C=CC=C2 |
| 55 | 1-戊基-3-(2-氯苯乙酰基)吲哚 | 2-(2-Chlorophenyl)-1-(1-pentyl-1H-indol-3-yl)ethanone | 864445-54-5 | JWH-203 | CCCCCN1C=C(C(=O)CC2=C(Cl)C=CC=C2)C2=C1C=CC=C2 |
| 56 | 1-戊基-3-(4-乙基-1-萘甲酰基)吲哚 | (1-Pentyl-1H-indol-3-yl)(4-ethylnaphthalen-1-yl)methanone | 824959-81-1 | JWH-210 | CCCCCN1C=C(C(=O)C2=C3C=CC=CC3=C(CC)C=C2)C2=C1C=CC=C2 |
| 57 | 1-戊基-2-(2-甲基苯基)-4-(1-萘甲酰基)吡咯 | (5-(2-Methylphenyl)-1-pentyl-1H-pyrrol-3-yl)(naphthalen-1-yl)methanone | 914458-22-3 | JWH-370 | CCCCCN1C=C(C(=O)C2=C3C=CC=CC3=CC=C2)C=C1C1=C(C)C=CC=C1 |
| 58 | 1-(5-氟戊基)-3-(4-甲基-1-萘甲酰基)吲哚 | (1-(5-Fluoropentyl)-1H-indol-3-yl)(4-methylnaphthalen-1-yl)methanone | 1354631-24-5 | MAM-2201 | CC1=C2C=CC=CC2=C(C(=O)C2=CN(CCCCCF)C3=C2C=CC=C3)C=C1 |
| 59 | N-(1-甲氧基羰基-2,2-二甲基丙基)-1-(环己基甲基)吲哚-3-甲酰胺 | N-(1-Methoxy-3,3-dimethyl-1-oxobutan-2-yl)-1-(cyclohexylmethyl)-1H-indole-3-carboxamide | 1715016-78-6 | MDMB-CHMICA | COC(=O)C(NC(=O)C1=NN(CC2CCCCC2)C2=C1C=CC=C2)C(C)(C)C |
| 60 | N-(1-甲氧基羰基-2,2-二甲基丙基)-1-(4-氟苄基)吲唑-3-甲酰胺 | N-(1-Methoxy-3,3-dimethyl-1-oxobutan-2-yl)-1-(4-fluorobenzyl)-1H-indazole-3-carboxamide | 1715016-77-5 | MDMB-FUBINACA | COC(=O)[C@H](NC(=O)C1=NN(CC2=CC=C(F)C=C2)C2=C1C=CC=C2)C(C)(C)C |
| 61 | 1-戊基吲哚-3-甲酸-8-喹啉酯 | Quinolin-8-yl1-pentyl-1H-indole-3-carboxylate | 1400742-17-7 | PB-22 | CCCCCN1C=C(C(=O)OC2=C3N=CC=CC3=CC=C2)C2=C1C=CC=C2 |
| 62 | N-(1-氨甲酰基-2-苯基乙基)-1-(5-氟戊基)吲唑-3-甲酰胺 | N-(1-Amino-1-oxo-3-phenylpropan-2-yl)-1-(5-fluoropentyl)-1H-indazole-3-carboxamide | PX-2 | NC(=O)[C@H](CC1=CC=CC=C1)NC(=O)C1=NN(CCCCCF)C2=C1C=CC=C2 |
|
| 63 | 1-戊基-3-(4-甲氧基苯甲酰基)吲哚 | (1-Pentyl-1H-indol-3-yl)(4-methoxyphenyl)methanone | 1345966-78-0 | RCS-4 | CCCCCN1C=C(C(=O)C2=CC=C(OC)C=C2)C2=C1C=CC=C2 |
| 64 | N-(1-金刚烷基)-1-(5-氟戊基)吲哚-3-甲酰胺 | N-(1-Adamantyl)-1-(5-fluoropentyl)-1H-indole-3-carboxamide | 1354631-26-7 | STS-135 | O=C(NC12CC3CC(CC(C3)C1)C2)C1=CN(CCCCCF)C2=CC=CC=C12 |
| 65 | 1-戊基-3-(2,2,3,3-四甲基环丙甲酰基)吲哚 | (1-Pentyl-1H-indol-3-yl)(2,2,3,3-tetramethylcyclopropyl)methanone | 1199943-44-6 | UR-144 | CCCCCN1C=C(C(=O)C2C(C)(C)C2(C)C)C2=C1C=CC=C2 |
| 66 | 2-氟甲卡西酮 | 1-(2-Fluorophenyl)-2-methylaminopropan-1-one | 1186137-35-8 | 2-FMC | CNC(C)C(=O)C1=C(F)C=CC=C1 |
| 67 | 2-甲基甲卡西酮 | 1-(2-Methylphenyl)-2-methylaminopropan-1-one | 1246911-71-6 | 2-MMC | CNC(C)C(=O)C1=C(C)C=CC=C1 |
| 68 | 3,4-二甲基甲卡西酮 | 1-(3,4-Dimethylphenyl)-2-methylaminopropan-1-one | 1082110-00-6 | 3,4-DMMC | CNC(C)C(=O)C1=CC=C(C)C(C)=C1 |
| 69 | 3-氯甲卡西酮 | 1-(3-Chlorophenyl)-2-methylaminopropan-1-one | 1049677-59-9 | 3-CMC | CNC(C)C(=O)C1=CC=CC(Cl)=C1 |
| 70 | 3-甲氧基甲卡西酮 | 1-(3-Methoxyphenyl)-2-methylaminopropan-1-one | 882302-56-9 | 3-MeOMC | CNC(C)C(=O)C1=CC=CC(OC)=C1 |
| 71 | 3-甲基甲卡西酮 | 1-(3-Methylphenyl)-2-methylaminopropan-1-one | 1246911-86-3 | 3-MMC | CNC(C)C(=O)C1=CC(C)=CC=C1 |
| 72 | 4-溴甲卡西酮 | 1-(4-Bromophenyl)-2-methylaminopropan-1-one | 486459-03-4 | 4-BMC | CNC(C)C(=O)C1=CC=C(Br)C=C1 |
| 73 | 4-氯甲卡西酮 | 1-(4-Chlorophenyl)-2-methylaminopropan-1-one | 1225843-86-6 | 4-CMC | CNC(C)C(=O)C1=CC=C(Cl)C=C1 |
| 74 | 4-氟甲卡西酮 | 1-(4-Fluorophenyl)-2-methylaminopropan-1-one | 447-40-5 | 4-FMC | CNC(C)C(=O)C1=CC=C(F)C=C1 |
| 75 | 1-(4-氟苯基)-2-(N-吡咯烷基)-1-戊酮 | 1-(4-Fluorophenyl)-2-(1-pyrrolidinyl)pentan-1-one | 850352-62-4 | 4-F-α-PVP | CCCC(C(=O)C1=CC=C(F)C=C1)N1CCCC1 |
| 76 | 1-(4-甲基苯基)-2-甲氨基-1-丁酮 | 1-(4-Methylphenyl)-2-methylaminobutan-1-one | 1337016-51-9 | 4-MeBP | CCC(NC)C(=O)C1=CC=C(C)C=C1 |
| 77 | 1-(4-甲氧基苯基)-2-(N-吡咯烷基)-1-戊酮 | 1-(4-Methoxyphenyl)-2-(1-pyrrolidinyl)pentan-1-one | 14979-97-6 | 4-MeO-α-PVP | CCCC(C(=O)C1=CC=C(OC)C=C1)N1CCCC1 |
| 78 | 1-苯基-2-甲氨基-1-丁酮 | 1-Phenyl-2-methylaminobutan-1-one | 408332-79-6 | Buphedrone | CCC(NC)C(=O)C1=CC=CC=C1 |
| 79 | 2-甲氨基-1-[3,4-(亚甲二氧基)苯基]-1-丁酮 | 1-(3,4-Methylenedioxyphenyl)-2-methylaminobutan-1-one | 802575-11-7 | Butylone | CCC(NC)C(=O)C1=CC=C2OCOC2=C1 |
| 80 | 2-二甲氨基-1-[3,4-(亚甲二氧基)苯基]-1-丙酮 | 1-(3,4-Methylenedioxyphenyl)-2-dimethylaminopropan-1-one | 765231-58-1 | Dimethylone | CC(C(=O)C1=CC=C2OCOC2=C1)N(C)C |
| 81 | 乙卡西酮 | 1-Phenyl-2-ethylaminopropan-1-one | 18259-37-5 | Ethcathinone | CCNC(C)C(=O)C1=CC=CC=C1 |
| 82 | 3,4-亚甲二氧基乙卡西酮 | 1-(3,4-Methylenedioxyphenyl)-2-ethylaminopropan-1-one | 1112937-64-0 | Ethylone | CCNC(C)C(=O)C1=CC=C2OCOC2=C1 |
| 83 | 1-[3,4-(亚甲二氧基)苯基]-2-(N-吡咯烷基)-1-丁酮 | 1-(3,4-Methylenedioxyphenyl)-2-(1-pyrrolidinyl)butan-1-one | 784985-33-7 | MDPBP | CCC(C(=O)C1=CC=C2OCOC2=C1)N1CCCC1 |
| 84 | 1-[3,4-(亚甲二氧基)苯基]-2-(N-吡咯烷基)-1-丙酮 | 1-(3,4-Methylenedioxyphenyl)-2-(1-pyrrolidinyl)propan-1-one | 783241-66-7 | MDPPP | CCC(C(=O)C1=CC=C2OCOC2=C1)N1CCCC1 |
| 85 | 4-甲氧基甲卡西酮 | 1-(4-Methoxyphenyl)-2-methylaminopropan-1-one | 530-54-1 | Methedrone | CNC(C)C(=O)C1=CC=C(OC)C=C1 |
| 86 | 1-苯基-2-乙氨基-1-丁酮 | 1-Phenyl-2-ethylaminobutan-1-one | 1354631-28-9 | NEB | CCNC(CC)C(=O)C1=CC=CC=C1 |
| 87 | 1-苯基-2-甲氨基-1-戊酮 | 1-Phenyl-2-methylaminopentan-1-one | 879722-57-3 | Pentedrone | CCCC(NC)C(=O)C1=CC=CC=C1 |
| 88 | 1-苯基-2-(N-吡咯烷基)-1-丁酮 | 1-Phenyl-2-(1-pyrrolidinyl)butan-1-one | 13415-82-2 | α-PBP | CCC(C(=O)C1=CC=CC=C1)N1CCCC1 |
| 89 | 1-苯基-2-(N-吡咯烷基)-1-己酮 | 1-Phenyl-2-(1-pyrrolidinyl)hexan-1-one | 13415-86-6 | α-PHP | CCCCC(C(=O)C1=CC=CC=C1)N1CCCC1 |
| 90 | 1-苯基-2-(N-吡咯烷基)-1-庚酮 | 1-Phenyl-2-(1-pyrrolidinyl)heptan-1-one | 13415-83-3 | α-PHPP | CCCCCC(C(=O)C1=CC=CC=C1)N1CCCC1 |
| 91 | 1-苯基-2-(N-吡咯烷基)-1-戊酮 | 1-Phenyl-2-(1-pyrrolidinyl)pentan-1-one | 14530-33-7 | α-PVP | CCCC(C(=O)C1=CC=CC=C1)N1CCCC1 |
| 92 | 1-(2-噻吩基)-2-(N-吡咯烷基)-1-戊酮 | 1-(Thiophen-2-yl)-2-(1-pyrrolidinyl)pentan-1-one | 1400742-66-6 | α-PVT | CCCC(C(=O)C1=CC=CS1)N1CCCC1 |
| 93 | 2-(3-甲氧基苯基)-2-乙氨基环己酮 | 2-(3-Methoxyphenyl)-2-(ethylamino)cyclohexanone | 1239943-76-0 | MXE | CCNC1(C2=CC=CC(OC)=C2)CCCCC1=O |
| 94 | 乙基去甲氯胺酮 | 2-(2-Chlorophenyl)-2-(ethylamino)cyclohexanone | 1354634-10-8 | NENK | CCNC1(C2=C(Cl)C=CC=C2)CCCCC1=O |
| 95 | N,N-二烯丙基-5-甲氧基色胺 | 5-Methoxy-N,N-diallyltryptamine | 928822-98-4 | 5-MeO-DALT | C=CCN(CC=C)CCC1=CNC2=CC=C(OC)C=C12 |
| 96 | N,N-二异丙基-5-甲氧基色胺 | 5-Methoxy-N,N-diisopropyltryptamine | 4021-34-5 | 5-MeO-DiPT | COC1=CC=C2NC=C(CCN(C(C)C)C(C)C)C2=C1 |
| 97 | N,N-二甲基-5-甲氧基色胺 | 5-Methoxy-N,N-dimethyltryptamine | 1019-45-0 | 5-MeO-DMT | COC1=CC=C2NC=C(CCN(C)C)C2=C1 |
| 98 | N-甲基-N-异丙基-5-甲氧基色胺 | 5-Methoxy-N-isopropyl-N-methyltryptamine | 96096-55-8 | 5-MeO-MiPT | COC1=CC=C2NC=C(CCN(C)C(C)C)C2=C1 |
| 99 | α-甲基色胺 | alpha-Methyltryptamine | 299-26-3 | AMT | CC(N)CC1=CNC2=C1C=CC=C2 |
| 100 | 1,4-二苄基哌嗪 | 1,4-Dibenzylpiperazine | 1034-11-3 | DBZP | C1=CC=C(CN2CCN(CC3=CC=CC=C3)CC2)C=C1 |
| 101 | 1-(3-氯苯基)哌嗪 | 1-(3-Chlorophenyl)piperazine | 6640-24-0 | mCPP | ClC1=CC(N2CCNCC2)=CC=C1 |
| 102 | 1-(3-三氟甲基苯基)哌嗪 | 1-(3-Trifluoromethylphenyl)piperazine | 15532-75-9 | TFMPP | FC(F)(F)C1=CC=CC(N2CCNCC2)=C1 |
| 103 | 2-氨基茚满 | 2-Aminoindane | 2975-41-9 | 2-AI | NC1CC2=C(C=CC=C2)C1 |
| 104 | 5,6-亚甲二氧基-2-氨基茚满 | 5,6-Methylenedioxy-2-aminoindane | 132741-81-2 | MDAI | NC1CC2=C(C=C3OCOC3=C2)C1 |
| 105 | 2-二苯甲基哌啶 | 2-Diphenylmethylpiperidine | 519-74-4 | 2-DPMP | C1=CC=C(C(C2=CC=CC=C2)C2CCCCN2)C=C1 |
| 106 | 3,4-二氯哌甲酯 | Methyl 2-(3,4-dichlorophenyl)-2-(piperidin-2-yl)acetate | 1400742-68-8 | 3,4-CTMP | COC(=O)C(C1=CC=C(Cl)C(Cl)=C1)C1CCCCN1 |
| 107 | 乙酰芬太尼 | N-(1-Phenethylpiperidin-4-yl)-N-phenylacetamide | 3258-84-2 | Acetylfentanyl | CC(=O)N(C1=CC=CC=C1)C1CCN(CCC2=CC=CC=C2)CC1 |
| 108 | 3,4-二氯-N-[(1-二甲氨基环己基)甲基]苯甲酰胺 | 3,4-Dichloro-N-((1-(dimethylamino)cyclohexyl)methyl)benzamide | 55154-30-8 | AH-7921 | CN(C)C1(CNC(=O)C2=CC=C(Cl)C(Cl)=C2)CCCCC1 |
| 109 | 丁酰芬太尼 | N-(1-Phenethylpiperidin-4-yl)-N-phenylbutyramide | 1169-70-6 | Butyrylfentanyl | CCCC(=O)N(C1=CC=CC=C1)C1CCN(CCC2=CC=CC=C2)CC1 |
| 110 | 哌乙酯 | Ethyl 2-phenyl-2-(piperidin-2-yl)acetate | 57413-43-1 | Ethylphenidate | CCOC(=O)C(C1=CC=CC=C1)C1CCCCN1 |
| 111 | 1-[1-(2-甲氧基苯基)-2-苯基乙基]哌啶 | 1-(1-(2-Methoxyphenyl)-2-phenylethyl)piperidine | 127529-46-8 | Methoxphenidine | COC1=C(C(CC2=CC=CC=C2)N2CCCCC2)C=CC=C1 |
| 112 | 芬纳西泮 | 7-Bromo-5-(2-chlorophenyl)-1,3-dihydro-2H-1,4-benzodiazepin-2-one | 51753-57-2 | Phenazepam | O=C1CN=C(C2=C(Cl)C=CC=C2)C2=CC(Br)=CC=C2N1 |
| 113 | β-羟基硫代芬太尼 | N-(1-(2-Hydroxy-2-(thiophen-2-yl)ethyl)piperidin-4-yl)-N-phenylpropanamide | 1474-34-6 | β-Hydroxythiofentanyl | CCC(=O)N(C1=CC=CC=C1)C1CCN(CC(O)C2=CC=CS2)CC1 |
| 114 | 4-氟丁酰芬太尼 | N-(4-Fluorophenyl)-N-(1-phenethylpiperidin-4-yl)butyramide | 244195-31-1 | 4-Fluorobutyrfentanyl | CCCC(=O)N(C1=CC=C(F)C=C1)C1CCN(CCC2=CC=CC=C2)CC1 |
| 115 | 异丁酰芬太尼 | N-(1-Phenethylpiperidin-4-yl)-N-phenylisobutyramide | 119618-70-1 | Isobutyrfentanyl | CC(C)C(=O)N(C1=CC=CC=C1)C1CCN(CCC2=CC=CC=C2)CC1 |
| 116 | 奥芬太尼 | N-(2-Fluorophenyl)-2-methoxy-N-(1-phenethylpiperidin-4-yl)acetamide | 101343-69-5 | Ocfentanyl | COCC(=O)N(C1=C(F)C=CC=C1)C1CCN(CCC2=CC=CC=C2)CC1 |
注:上述品种包括其可能存在的盐类、旋光异构体及其盐类(另有规定的除外)。
五、卡芬太尼等 4 种芬太尼类物质列入《非药用类麻醉药品和精神药品管制品种增补目录》(2017 年 3 月 1 日起施行)【4 种】
表格
| 序号 | 中文名 | 英文名 | CAS号 | 备注 | 结构式 |
| 1 | 丙烯酰芬太尼 | N-(1-Phenethylpiperidin-4-yl)-N-phenylacrylamide | 82003-75-6 | Acrylfentanyl | C=CC(=O)N(C1=CC=CC=C1)C1CCN(CCC2=CC=CC=C2)CC1 |
| 2 | 卡芬太尼 | Methyl4-(N-phenylpropionamido)-1-phenethylpiperidine-4-carboxylate | 59708-52-0 | CarfentanylCarfentanil | CCC(=O)N(C1=CC=CC=C1)C1(C(=O)OC)CCN(CCC2=CC=CC=C2)CC1 |
| 3 | 呋喃芬太尼 | N-(1-Phenethylpiperidin-4-yl)-N-phenylfuran-2-carboxamide | 101345-66-8 | Furanylfentanyl | O=C(C1=CC=CO1)N(C1=CC=CC=C1)C1CCN(CCC2=CC=CC=C2)CC1 |
| 4 | 戊酰芬太尼 | N-(1-Phenethylpiperidin-4-yl)-N-phenylpentanamide | 122882-90-0 | Valerylfentanyl | CCCCC(=O)N(C1=CC=CC=C1)C1CCN(CCC2=CC=CC=C2)CC1 |
六、N-甲基-N-(2-二甲氨基环己基)-3,4-二氯苯甲酰胺(U-47700)等 4 种物质列入《非药用类麻醉药品和精神药品管制品种增补目录》(2017 年 7 月 1 日起施行)【4 种】
表格
| 序号 | 中文名 | 英文名 | CAS号 | 备注 | 结构式 |
| 1 | N-甲基-N-(2-二甲氨基环己基)-3,4-二氯苯甲酰胺 | 3,4-Dichloro-N-(2-(dimethylamino)cyclohexyl)-N-methylbenzamide | 121348-98-9 | U-47700 | CN(C)C1CCCCC1N(C)C(=O)C1=CC=C(Cl)C(Cl)=C1 |
| 2 | 1-环己基-4-(1,2-二苯基乙基)哌嗪 | 1-Cyclohexyl-4-(1,2-diphenylenthyl)piperazine | 52694-55-0 | MT-45 | C1=CC=C(CC(C2=CC=CC=C2)N2CCN(C3CCCCC3)CC2)C=C1 |
| 3 | 4-甲氧基甲基苯丙胺 | N-Methyl--1-(4-methoxyphenyl)propan-2-amine | 22331-70-0 | PMMA | CNC(C)CC1=CC=C(OC)C=C1 |
| 4 | 2-氨基-4-甲基-5-(4-甲基苯基)-4,5-二氢恶唑 | 4-Methyl-5-(4-methylphenyl)-4,5-dihydrooxazol-2-amine | 1445569-01-6 | 4,4'DMAR | CC1=CC=C(C2OC(N)=NC2C)C=C1 |
七、4-氯乙卡西酮等 32 种物质列入《非药用类麻醉药品和精神药品管制品种增补目录》(2018 年 9 月 1 日起施行)【32 种】
表格
| 序号 | 中文名 | 英文名 | CAS号 | 备注 | 结构式 |
| 1 | 4-氯乙卡西酮 | 1-(4-Chlorophenyl)-2-(ethylamino)propan-1-one | 14919-85-8 | 4-CEC | CCNC(C)C(=O)C1=CC=C(Cl)C=C1 |
| 2 | 1-[3,4-(亚甲二氧基)苯基]-2-乙氨基-1-戊酮 | 1-(3,4-Methylenedioxyphenyl)-2-(ethylamino)pentan-1-one | 727641-67-0 | N-Ethylpentylone | CCCC(NCC)C(=O)C1=CC=C2OCOC2=C1 |
| 3 | 1-(4-氯苯基)-2-(N-吡咯烷基)-1-戊酮 | 1-(4-Chlorophenyl)-2-(1-pyrrolidinyl)pentan-1-one | 5881-77-6 | 4-Cl-α-PVP | CCCC(C(=O)C1=CC=C(Cl)C=C1)N1CCCC1 |
| 4 | 1-[3,4-(亚甲二氧基)苯基]-2-二甲氨基-1-丁酮 | 1-(3,4-Methylenedioxyphenyl)-2-(dimethylamino)butan-1-one | 802286-83-5 | Dibutylone | CCC(C(=O)C1=CC=C2OCOC2=C1)N(C)C |
| 5 | 1-[3,4-(亚甲二氧基)苯基]-2-甲氨基-1-戊酮 | 1-(3,4-Methylenedioxyphenyl)-2-(methylamino)pentan-1-one | 698963-77-8 | Pentylone | CCCC(NC)C(=O)C1=CC=C2OCOC2=C1 |
| 6 | 1-苯基-2-乙氨基-1-己酮 | 1-Phenyl-2-(ethylamino)hexan-1-one | 802857-66-5 | N-Ethylhexedrone | CCCCC(NCC)C(=O)C1=CC=CC=C1 |
| 7 | 1-(4-甲基苯基)-2-(N-吡咯烷基)-1-己酮 | 1-(4-Methylphenyl)-2-(1-pyrrolidinyl)hexan-1-one | 34138-58-4 | 4-MPHP | CCCCC(C(=O)C1=CC=C(C)C=C1)N1CCCC1 |
| 8 | 1-(4-氯苯基)-2-(N-吡咯烷基)-1-丙酮 | 1-(4-Chlorophenyl)-2-(1-pyrrolidinyl)propan-1-one | 28117-79-5 | 4-Cl-α-PPP | CC(C(=O)C1=CC=C(Cl)C=C1)N1CCCC1 |
| 9 | 1-[2-(5,6,7,8-四氢萘基)]-2-(N-吡咯烷基)-1-戊酮 | 1-(5,6,7,8-Tetrahydronaphthalen-2-yl)-2-(1-pyrrolidinyl)pentan-1-one | β-TH-Naphyrone | CCCC(C(=O)C1=CC2=C(C=C1)CCCC2)N1CCCC1 |
|
| 10 | 1-(4-氟苯基)-2-(N-吡咯烷基)-1-己酮 | 1-(4-Fluorophenyl)-2-(1-pyrrolidinyl)hexan-1-one | 2230706-09-7 | 4-F-α-PHP | CCCCC(C(=O)C1=CC=C(F)C=C1)N1CCCC1 |
| 11 | 4-乙基甲卡西酮 | 1-(4-Ethylphenyl)-2-(methylamino)propan-1-one | 1225622-14-9 | 4-EMC | CCC1=CC=C(C(=O)C(C)NC)C=C1 |
| 12 | 1-(4-甲基苯基)-2-乙氨基-1-戊酮 | 1-(4-Methylphenyl)-2-(ethylamino)pentan-1-one | 746540-82-9 | 4-MEAPP | CCCC(NCC)C(=O)C1=CC=C(C)C=C1 |
| 13 | 1-(4-甲基苯基)-2-甲氨基-3-甲氧基-1-丙酮 | 1-(4-Methylphenyl)-2-(methylamino)-3-methoxypropan-1-one | 2166915-02-0 | Mexedrone | CNC(COC)C(=O)C1=CC=C(C)C=C1 |
| 14 | 1-[3,4-(亚甲二氧基)苯基]-2-(N-吡咯烷基)-1-己酮 | 1-(3,4-Methylenedioxyphenyl)-2-(1-pyrrolidinyl)hexan-1-one | 776994-64-0 | MDPHP | CCCCC(C(=O)C1=CC=C2OCOC2=C1)N1CCCC1 |
| 15 | 1-(4-甲基苯基)-2-甲氨基-1-戊酮 | 1-(4-Methylphenyl)-2-(methylamino)pentan-1-one | 1373918-61-6 | 4-MPD | CCCC(NC)C(=O)C1=CC=C(C)C=C1 |
| 16 | 1-(4-甲基苯基)-2-二甲氨基-1-丙酮 | 1-(4-Methylphenyl)-2-(dimethylamino)propan-1-one | 1157738-08-3 | 4-MDMC | CC1=CC=C(C(=O)C(C)N(C)C)C=C1 |
| 17 | 3,4-亚甲二氧基丙卡西酮 | 1-(3,4-Methylenedioxyphenyl)-2-(propylamino)propan-1-one | 201474-93-3 | Propylone | CCCNC(C)C(=O)C1=CC=C2OCOC2=C1 |
| 18 | 1-(4-氯苯基)-2-乙氨基-1-戊酮 | 1-(4-Chlorophenyl)-2-(ethylamino)pentan-1-one | 4-Cl-EAPP | CCCC(NCC)C(=O)C1=CC=C(Cl)C=C1 |
|
| 19 | 1-苯基-2-(N-吡咯烷基)-1-丙酮 | 1-Phenyl-2-(1-pyrrolidinyl)propan-1-one | 19134-50-0 | α-PPP | CC(C(=O)C1=CC=CC=C1)N1CCCC1 |
| 20 | 1-(4-氯苯基)-2-甲氨基-1-戊酮 | 1-(4-Chlorophenyl)-2-(methylamino)pentan-1-one | 2167949-43-9 | 4-Cl-Pentedrone | CCCC(NC)C(=O)C1=CC=C(Cl)C=C1 |
| 21 | 3-甲基-2-[1-(4-氟苄基)吲唑-3-甲酰胺基]丁酸甲酯 | N-(1-Methoxy-3-methyl-1-oxobutan-2-yl)-1-(4-fluorobenzyl)-1H-indazole-3-carboxamide | 1715016-76-4 | AMB-FUBINACA | COC(=O)C(NC(=O)C1=NN(CC2=CC=C(F)C=C2)C2=C1C=CC=C2)C(C)C |
| 22 | 1-(4-氟苄基)-N-(1-金刚烷基)吲唑-3-甲酰胺 | N-(1-Adamantyl)-1-(4-fluorobenzyl)-1H-indazole-3-carboxamide | 2180933-90-6 | FUB-APINACA | O=C(NC12CC3CC(CC(C3)C1)C2)C1=NN(CC2=CC=C(F)C=C2)C2=C1C=CC=C2 |
| 23 | N-(1-氨甲酰基-2,2-二甲基丙基)-1-(环己基甲基)吲唑-3-甲酰胺 | N-(1-Amino-3,3-dimethyl-1-oxobutan-2-yl)-1-(cyclohexylmethyl)-1H-indazole-3-carboxamide | 1863065-92-2 | ADB-CHMINACA | CC(C)(C)C(NC(=O)C1=NN(CC2CCCCC2)C2=C1C=CC=C2)C(N)=O |
| 24 | N-(1-氨甲酰基-2,2-二甲基丙基)-1-(4-氟苄基)吲唑-3-甲酰胺 | N-(1-Amino-3,3-dimethyl-1-oxobutan-2-yl)-1-(4-fluorobenzyl)-1H-indazole-3-carboxamide | 1445583-51-6 | ADB-FUBINACA | CC(C)(C)C(NC(=O)C1=NN(CC2=CC=C(F)C=C2)C2=C1C=CC=C2)C(N)=O |
| 25 | 3,3-二甲基-2-[1-(5-氟戊基)吲唑-3-甲酰氨基]丁酸甲酯 | N-(1-Methoxy-3,3-dimethyl-1-oxobutan-2-yl)-1-(5-fluoropentyl)-1H-indazole-3-carboxamide | 1715016-75-3 | 5F-ADB | COC(=O)C(NC(=O)C1=NN(CCCCCF)C2=C1C=CC=C2)C(C)(C)C |
| 26 | 3-甲基-2-[1-(环己基甲基)吲哚-3-甲酰氨基]丁酸甲酯 | N-(1-Methoxy-3-methyl-1-oxobutan-2-yl)-1-(cyclohexylmethyl)-1H-indole-3-carboxamide | 1971007-94-9 | AMB-CHMICA | COC(=O)[C@@H](NC(=O)C1=CN(CC2CCCCC2)C2=C1C=CC=C2)C(C)C |
| 27 | 1-(5-氟戊基)-2-(1-萘甲酰基)苯并咪唑 | (1-(5-Fluoropentyl)-1H-benzimidazol-2-yl)(naphthalen-1-yl)methanone | 1984789-90-3 | BIM-2201 | O=C(C1=CC=CC2=C1C=CC=C2)C1=NC2=C(C=CC=C2)N1CCCCCF |
| 28 | 1-(5-氟戊基)吲哚-3-甲酸-1-萘酯 | Naphthalen-1-yl-1-(5-fluoropentyl)-1H-indole-3-carboxylate | 2042201-16-9 | NM-2201 | O=C(OC1=CC=CC2=C1C=CC=C2)C1=CN(CCCCCF)C2=C1C=CC=C2 |
| 29 | 2-苯基-2-甲氨基环己酮 | 2-Phenyl-2-(methylamino)cyclohexanone | 7063-30-1 | DCK | CNC1(C2=CC=CC=C2)CCCCC1=O |
| 30 | 3-甲基-5-[2-(8-甲基-3-苯基-8-氮杂环[3,2,1]辛烷基)]-1,2,4-噁二唑 | 8-Methyl-2-(3-methyl-1,2,4-oxadiazol-5-yl)-3-phenyl-8-aza-bicyclo[3.2.1]octane | 146659-37-2 | RTI-126 | CC1=NOC([C@H]2C(C3=CC=CC=C3)CC34[C@H](CC[C@H]23)N4C)=N1 |
| 31 | 4-氟异丁酰芬太尼 | N-(4-Fluorophenyl)-N-(1-phenethylpiperidin-4-yl)isobutyramide | 244195-32-2 | 4-FIBF | CC(C)C(=O)N(C1=CC=C(F)C=C1)C1CCN(CCC2=CC=CC=C2)CC1 |
| 32 | 四氢呋喃芬太尼 | N-Phenyl-N-(1-phenethylpiperidin-4-yl)tetrahydrofuran-2-carboxamide | 2142571-01-3 | THF-F | O=C(C1CCCO1)N(C1=CC=CC=C1)C1CCN(CCC2=CC=CC=C2)CC1 |
八、芬太尼类物质列入《非药用类麻醉药品和精神药品管制品种增补目录》(2019 年 5 月 1 日起施行)【整类】
公安部 国家卫生健康委员会 国家药监局关于将芬太尼类物质列入《非药用类麻醉药品和精神药品管制品种增补目录》的公告(2019 年 3 月 12 日)
根据《麻醉药品和精神药品管理条例》《非药用类麻醉药品和精神药品列管办法》有关规定,公安部、国家卫生健康委员会和国家药品监督管理局决定将芬太尼类物质列入《非药用类麻醉药品和精神药品管制品种增补目录》。“芬太尼类物质”是指化学结构与芬太尼(N-[1-(2-苯乙基-4-哌啶基]-N-苯基丙酰胺)相比,符合以下一个或多个条件的物质:
一、使用其他酰基替代丙酰基;
二、使用任何取代或未取代的单环芳香基团替代与氮原子直接相连的苯基;
三、哌啶环上存在烷基、烯基、烷氧基、酯基、醚基、羟基、卤素、卤代烷基、氨基及硝基等取代基;
四、使用其他任意基团(氢原子除外)替代苯乙基。
上述所列管物质如果发现有医药、工业、科研或者其他合法用途,按照《非药用类麻醉药品和精神药品列管办法》第三条第二款规定予以调整。
已列入《麻醉药品和精神药品品种目录》和《非药用类麻醉药品和精神药品管制品种增补目录》的芬太尼类物质依原有目录予以管制。
本公告自 2019 年 5 月 1 日起施行。
九、含羟考酮复方制剂等品种列入精神药品管理(2019 年 9 月 1 日起施行)【3 种】
国家药监局 公安部 国家卫生健康委关于将含羟考酮复方制剂等品种列入精神药品管理的公告(2019 年第 63 号)
根据《麻醉药品和精神药品管理条例》有关规定,国家药品监督管理局、公安部、国家卫生健康委员会决定将含羟考酮复方制剂等品种列入精神药品管理。现公告如下:
一、口服固体制剂每剂量单位含羟考酮碱大于 5 毫克,且不含其它麻醉药品、精神药品或药品类易制毒化学品的复方制剂列入第一类精神药品管理;
二、口服固体制剂每剂量单位含羟考酮碱不超过 5 毫克,且不含其它麻醉药品、精神药品或药品类易制毒化学品的复方制剂列入第二类精神药品管理;
三、丁丙诺啡与纳洛酮的复方口服固体制剂列入第二类精神药品管理。
本公告自 2019 年 9 月 1 日起施行。
十、瑞马唑仑列入第二类精神药品管理(2020 年 1 月 1 日起施行)【1 种】
国家药监局 公安部 国家卫生健康委关于将瑞马唑仑列入第二类精神药品管理的公告(2019 年第 108 号)
根据《麻醉药品和精神药品管理条例》有关规定,国家药品监管局、公安部、国家卫生健康委决定将瑞马唑仑(包括其可能存在的盐、单方制剂和异构体)列入第二类精神药品管理。
本公告自 2020 年 1 月 1 日起实行。
表格
| 序号 | 中文名 | 英文名 | CAS号 | 备注 | 结构式 |
| 1 | 瑞马唑仑 | Dimdazenil | 308242-62-8 | CC1=CN=C2N1C3=C(C=C(C=C3)Br)C(=N[C@H]2CCC(=O)OC)C4=CC=CC=N4 |
十一、合成大麻素类物质和氟胺酮等 18 种物质列入《非药用类麻醉药品和精神药品管制品种增补目录》(2021 年 7 月 1 日起施行)【18 种+整类】
公安部 国家卫生健康委员会 国家药品监督管理局关于将合成大麻素类物质和氟胺酮等 18 种物质列入《非药用类麻醉药品和精神药品管制品种增补目录》的公告(2021 年 3 月 15 日)
根据《麻醉药品和精神药品管理条例》《非药用类麻醉药品和精神药品列管办法》有关规定,公安部、国家卫生健康委员会和国家药品监督管理局决定将合成大麻素类物质和氟胺酮等 18 种物质列入《非药用类麻醉药品和精神药品管制品种增补目录》。
一、合成大麻素类物质。“合成大麻素类物质”是指具有下列化学结构通式的物质:

R1 代表取代或未取代的 C3-C8 烃基;取代或未取代的含有 1-3 个杂原子的杂环基;取代或未取代的含有 1-3 个杂原子的杂环基取代的甲基或乙基。
R2 代表氢或甲基或无任何原子。
R3 代表取代或未取代的 C6-C10 的芳基;取代或未取代的 C3-C10 的烃基;取代或未取代的含有 1-3 个杂原子的杂环基;取代或未取代的含有 1-3 个杂原子的杂环基取代的甲基或乙基。
R4 代表氢;取代或未取代的苯基;取代或未取代的苯甲基。
R5 代表取代或未取代的 C3-C10 的烃基。
X 代表 N 或 C。
Y 代表 N 或 CH。
Z 代表 O 或 NH 或无任何原子。
上述所列管物质如果发现医药、工业、科研或者其他合法用途,按照《非药用类麻醉药品和精神药品列管办法》第三条第二款规定予以调整。已列入《麻醉药品和精神药品品种目录》和《非药用类麻醉药品和精神药品管制品种增补目录》的合成大麻素类物质依原有目录予以管制。
二、氟胺酮等 18 种物质。(详见附表)
本公告自 2021 年 7 月 1 日起施行。
非药用类麻醉药品和精神药品管制品种增补目录
表格
| 序号 | 中文名 | 英文名 | CAS号 | 备注 | 结构式 |
| 1 | 氟胺酮 | 2-(2-Fluorophenyl)-2-(methylamino)cyclohexan-1-one | 111982-50-4 | 2-FDCK Fluoroketamine |
CNC1(C2=C(F)C=CC=C2)CCCCC1=O |
| 2 | (6aR,10aR)-3-(1,1-二甲基庚基)-6a,7,10,10a-四氢-1-羟基-6,6-二甲基-6H-二苯并[b,d]吡喃-9-甲醇 | (6aR,10aR)-3-(1,1-Dimethylheptyl)-6a,7,10,10a-tetrahydro-1-hydroxy-6,6-dimethyl-6H-dibenzob,dpyran-9-methanol | 112830-95-2 | HU-210 | CCCCCCC(C)(C)C1=CC2=C(C(O)=C1)[C@@H]1CC(CO)=CC[C@H]1C(C)(C)O2 |
| 3 | 1-[3,4-(亚甲二氧基)苯基]-2-丁氨基-1-戊酮 | 1-(3,4-Methylenedioxypheny1)-2-(butylamino)pentan-1-one | 688727-54-0 | N-Butylpentylone | CCCCNC(CCC)C(=O)C1=CC=C2OCOC2=C1 |
| 4 | 1-[3,4-(亚甲二氧基)苯基]-2-苄氨基-1-丙酮 | 1-(3,4-Methylenedioxyphenyl)-2-(benzylamino)propan-1-one | 1387636-19-2 | BMDP | CC(NCC1=CC=CC=C1)C(=O)C1=CC=C2OCOC2=C1 |
| 5 | 1-[3,4-(亚甲二氧基)苯基]-2-乙氮基-1-丁酮 | 1-(3,4-Methylenedioxypheny1)-2-(ethylamino)butan-1-one | 802855-66-9 | Eutylone | CCNC(CC)C(=O)C1=CC=C2OCOC2=C1 |
| 6 | 2-乙氨基-1-苯基-1-庚酮 | 2-(Ethylamino)-1-phenylheptan-1-one | 2514784-72-4 | N-Ethylheptedrone | CCCCCC(NCC)C(=O)C1=CC=CC=C1 |
| 7 | 1-(4-氯苯基)-2-二甲氨基-1-丙酮 | 1-(4-Chlorophenyl)-2-(dimethylamino)propan-1-one | 1157667-29-2 | 4-CDMC | CC(C(=O)C1=CC=C(Cl)C=C1)N(C)C |
| 8 | 2-丁氨基-1-苯基-1-己酮 | 2-(Butylamino)-1-phenylhexan-1-one | 802576-87-0 | N-Butylhexedrone | CCCCNC(CCCC)C(=O)C1=CC=CC=C1 |
| 9 | 1-[1-(3-甲氧基苯基)环己基]哌啶 | 1-(1-(3-Methoxyphenyl)cyclohexyl)piperidine | 72242-03-6 | 3-MeO-PCP | COC1=CC(C2(N3CCCCC3)CCCCC2)=CC=C1 |
| 10 | a-甲基-5-甲氧基色胺 | 1-(5-Methoxy-1H-indol-3-yl)propan-2-amine | 1137-04-8 | 5-MeO-AMT | COC1=CC=C2NC=C(CC(C)N)C2=C1 |
| 11 | 科纳唑仑 | 6-(2-Chlorophenyl)-1-methy1-8-nitro-4H-benzo[f][1,2,4]triazolo[4,3-a][1,4]diazepine | 33887-02-4 | Clonazolam | CC1=NN=C2CN=C(C3=C(Cl)C=CC=C3)C3=CC([N+](=O)[O-])=CC=C3N12 |
| 12 | 二氯西泮 | 7-Chloro-5-(2-chlorophenyl)-1-methy1-1,3dihydro-2H-benzo[e][1,4]diazepin-2-one | 2894-68-0 | Didazepam | CN1C(=O)CN=C(C2=C(Cl)C=CC=C2)C2=CC(Cl)=CC=C21 |
| 13 | 氟阿普唑仑 | 8-Chloro-6-(2-fluorophenyl)-1-methy1-4Hbenzo[f][1,2,4]triazolo[4,3-a][1,4]diazepine | 28910-91-0 | Flualprazolam | CC1=NN=C2CN=C(C3=C(F)C=CC=C3)C3=CC(Cl)=CC=C3N12 |
| 14 | N,N-二乙基-2-(2-(4-异丙氧基苯基)-5-硝基-1H-苯并[d]咪唑-1-基)-1-乙胺 | N,N-Diethy1-2-(2-(4-isopropoxybenzy1)-5-nitro-1H-benzo[d]imidazo1-1-yl)ethan-1-amine | 14188-81-9 | Isotonitazene | CCN(CC)CCN1C(CC2=CC=C(OC(C)C)C=C2)=NC2=CC([N+](=O)[O-])=CC=C21 |
| 15 | 氟溴唑仑 | 8-Bromo-6-(2-fluorophenyl)-1-methy1-4Hbenzo[f][1,2,4]triazolo[4,3-a][1,4]diazepine | 612526-40-6 | Flubromazolam | CC1=NN=C2CN=C(C3=C(F)C=CC=C3)C3=CC(Br)=CC=C3N12 |
| 16 | 1-(1,2-二苯基乙基)哌啶 | 1-(1,2-Diphenylethyl)piperidine | 36794-52-2 | Diphenidine | C1=CC=C(CC(C2=CC=CC=C2)N2CCCCC2)C=C1 |
| 17 | 2-(3-氟苯基)-3-甲基吗啉 | 2-(3-Fhuorophenyl)-3-methylmorpholine | 1350768-28-3 | 3-EPM3-Fluorophenmetrazine | CC1NCCOC1C1=CC=CC(F)=C1 |
| 18 | 依替唑仑 | 4-(2-Chlorophenyl)-2-ethyl-9-methyl-6H-thieno[3,2-f][1,2,4]triazolo[4,3-a][1,4]diazepine | 40054-69-1 | Etizolam | CCC1=CC2=C(S1)N1C(C)=NN=C1CN=C2C1=C(Cl)C=CC=C1 |
十二、奥赛利定列入麻醉药品目录,苏沃雷生等品种列入精神药品目录(2023 年 7 月 1 日起施行)【7 种】
国家药监局 公安部 国家卫生健康委关于调整麻醉药品和精神药品目录的公告(2023 年第 43 号)
根据《麻醉药品和精神药品管理条例》有关规定,国家药品监督管理局、公安部、国家卫生健康委员会决定将奥赛利定等品种列入麻醉药品和精神药品目录。现公告如下:
一、将奥赛利定列入麻醉药品目录。
二、将苏沃雷生、吡仑帕奈、依他佐辛、曲马多复方制剂列入第二类精神药品目录。
三、将每剂量单位含氢可酮碱大于 5 毫克,且不含其它麻醉药品、精神药品或药品类易制毒化学品的复方口服固体制剂列入第一类精神药品目录。
四、将每剂量单位含氢可酮碱不超过 5 毫克,且不含其它麻醉药品、精神药品或药品类易制毒化学品的复方口服固体制剂列入第二类精神药品目录。
本公告自 2023 年 7 月 1 日起施行。
表格
| 序号 | 中文名 | 英文名 | CAS号 | 备注 | 结构式 |
| 1 | 奥赛利定 | Oliceridine | 1401028-24-7 | TRV-130 | COC1=C(CNCC[C@@]2(C3=NC=CC=C3)CCOC3(CCCC3)C2)SC=C1 |
| 2 | 苏沃雷生 | Suvorexant | 1030377-33-3 | CC1=CC(C(=O)N2CCN(C3=NC4=C(C=CC(Cl)=C4)O3)CC[C@H]2C)=C(N2N=CC=N2)C=C1 |
|
| 3 | 吡仑帕奈 | Perampanel | 380917-97-5 | N#CC1=C(C2=CC(C3=CC=CC=N3)=CN(C3=CC=CC=C3)C2=O)C=CC=C1 |
|
| 4 | 依他佐辛 | Eptazocine | 72522-13-5 | CN1CC[C@]2(C)CC(CC3=C2C=C(O)C=C3)C1 |
十三、泰吉利定列入麻醉药品目录;地达西尼、依托咪酯(在中国境内批准上市的含依托咪酯的药品制剂除外)列入第二类精神药品目录(2023 年 10 月 1 日起施行)【3 种】
国家药监局 公安部 国家卫生健康委关于调整麻醉药品和精神药品目录的公告(2023 年第 120 号)
根据《麻醉药品和精神药品管理条例》有关规定,国家药品监督管理局、公安部、国家卫生健康委员会决定调整麻醉药品和精神药品目录。现公告如下:
一、 将泰吉利定列入麻醉药品目录。
二、 将地达西尼、依托咪酯(在中国境内批准上市的含依托咪酯的药品制剂除外)列入第二类精神药品目录。
三、 将莫达非尼由第一类精神药品调整为第二类精神药品。
本公告自 2023 年 10 月 1 日起施行。
表格
| 序号 | 中文名 | 英文名 | CAS号 | 备注 | 结构式 |
| 1 | 泰吉利定 | Tegileridine | 2095345-66-5 | CCO[C@H]1CC[C@H](NCC[C@@]2(C3=CC=CC=N3)CCOC3(CCCC3)C2)C2=CC=CC=C21 |
|
| 2 | 地达西尼 | Dimdazenil | 308239-86-3 | CN(C)CC1=NC(C2=C3CN(C)C(=O)C4=C(Cl)C=CC=C4N3C=N2)=NO1 |
|
| 3 | 依托咪酯 | etomidate | 33125-97-2 | CCOC(=O)C1=CN=CN1[C@H](C)C1=CC=CC=C1 |
十四、右美沙芬、含地芬诺酯复方制剂、纳呋拉啡、氯卡色林列入第二类精神药品目录;将咪达唑仑原料药和注射剂由第二类精神药品调整为第一类精神药品,其它咪达唑仑单方制剂仍为第二类精神药品(2024 年 7 月 1 日起施行)【4 种】
国家药监局 公安部 国家卫生健康委关于调整麻醉药品和精神药品目录的公告(2024 年第 54 号)
根据《麻醉药品和精神药品管理条例》有关规定,国家药品监督管理局、公安部、国家卫生健康委员会决定调整精神药品目录。现公告如下:
一、右美沙芬、含地芬诺酯复方制剂、纳呋拉啡、氯卡色林列入第二类精神药品目录;
二、将咪达唑仑原料药和注射剂由第二类精神药品调整为第一类精神药品,其它咪达唑仑单方制剂仍为第二类精神药品。
本公告自 2024 年 7 月 1 日起施行。
表格
| 序号 | 中文名 | 英文名 | CAS号 | 备注 | 结构式 |
| 1 | 右美沙芬 | Dextromethorphan | 125-71-3 | COC1=CC=C2C[C@H]3[C@H]4CCCC[C@@]4(CCN3C)C2=C1 |
|
| 2 | 纳呋拉啡 | Nalfurafine | 152657-84-6 | CN(C(=O)/C=C/C1=COC=C1)[C@@H]1CC[C@@]2(O)[C@H]3CC4=CC=C(O)C5=C4[C@@]2(CCN3CC2CC2)[C@H]1O5 |
|
| 3 | 氯卡色林 | Lorcaserin | 616202-92-7 | C[C@H]1CNCCC2=C1C=C(Cl)C=C2 |
十五、溴啡等 46 种物质列入《非药用类麻醉药品和精神药品管制品种增补目录》(2024 年 7 月 1 日起施行)【46 种】
关于将溴啡等 46 种物质列入《非药用类麻醉药品和精神药品管制品种增补目录》的公告
根据《麻醉药品和精神药品管理条例》《非药用类麻醉药品和精神药品列管办法》有关规定,公安部、国家卫生健康委员会和国家药品监督管理局决定将溴啡等 46 种物质(详见附表)列入《非药用类麻醉药品和精神药品管制品种增补目录》。
本公告自 2024 年 7 月 1 日起施行。
附表: 非药用类麻醉药品和精神药品管制品种增补目录
表格
| 序号 | 中文名 | 英文名 | CAS号 | 备注 | 结构式 |
| 1 | 溴啡 | 1-(1-(1-(4-Bromophenyl)ethyl)piperidin-4-yl)-1,3-dihydro-2H-benzo[d]imidazol-2-one | 2244737-98-0 | Brorphine | CC(C1=CC=C(Br)C=C1)N1CCC(N2C(=O)NC3=C2C=CC=C3)CC1 |
| 2 | 美托尼秦 | N,N-Diethyl-2-(2-(4-methoxybenzyl)-5-nitro-1H-benzo[d]imidazol-1-yl)ethan-1-amine | 14680-51-4 | Metonitazene | CCN(CC)CCN1C(CC2=CC=C(OC)C=C2)=NC2=CC([N+](=O)[O-])=CC=C21 |
| 3 | 2-甲基布桂嗪 | 1-(4-Cinnamyl-2-methylpiperazin-1-yl)butan-1-one | 98608-61-8 | 2-Methyl-AP-237 | CCCC(=O)N1CCN(C/C=C/C2=CC=CC=C2)CC1C |
| 4 | 去硝基依托尼秦 | 2-(2-(4-Ethoxybenzyl)-1H-benzo[d]imidazol-1-yl)-N,N-diethylethan-1-amine | 14030-76-3 | Etazene | CCOC1=CC=C(CC2=NC3=C(C=CC=C3)N2CCN(CC)CC)C=C1 |
| 5 | 丙托尼秦 | N,N-Diethyl-2-(5-nitro-2-(4-propoxybenzyl)-1H-benzo[d]imidazol-1-yl)ethan-1-amine | 95958-84-2 | Protonitazene | CCCOC1=CC=C(CC2=NC3=CC([N+](=O)[O-])=CC=C3N2CCN(CC)CC)C=C1 |
| 6 | 依托吡尼秦 | 2-(4-Ethoxybenzyl)-5-nitro-1-(2-(pyrrolidin-1-yl)ethyl)-1H-benzo[d]imidazole | 2785346-75-8 | Etonitazepyne | CCOC1=CC=C(CC2=NC3=CC([N+](=O)[O-])=CC=C3N2CCN2CCCC2)C=C1 |
| 7 | 丁托尼秦 | 2-(2-(4-Butoxybenzyl)-5-nitro-1H-benzo[d]imidazol-1-yl)-N,N-diethylethan-1-amine | 95810-54-1 | Butonitazene | CCCCOC1=CC=C(CC2=NC3=CC([N+](=O)[O-])=CC=C3N2CCN(CC)CC)C=C1 |
| 8 | 丙托吡尼秦 | 5-Nitro-2-(4-propoxybenzyl)-1-(2-(pyrrolidin-1-yl)ethyl)-1H-benzo[d]imidazole | 暂无 | Protonitazepyne | CCCOC1=CC=C(CC2=NC3=CC([N+](=O)[O-])=CC=C3N2CCN2CCCC2)C=C1 |
| 9 | N-去乙基异丙托尼秦 | N-Ethyl-2-(2-(4-isopropoxybenzyl)-5-nitro-1H-benzo[d]imidazol-1-yl)ethan-1-amine | 2732926-24-6 | N-DesethylIsotonitazene | CCNCCN1C(CC2=CC=C(OC(C)C)C=C2)=NC2=CC([N+](=O)[O-])=CC=C21 |
| 10 | N-去乙基依托尼秦 | 2-(2-(4-Ethoxybenzyl)-5-nitro-1H-benzo[d]imidazol-1-yl)-N-ethylethan-1-amine | 2732926-26-8 | N-DesethylEtonitazene | CCNCCN1C(CC2=CC=C(OCC)C=C2)=NC2C=C([N+](=O)[O-])C=CC21 |
| 11 | 亚乙氧尼秦 | 2-(2-((2,3-Dihydrobenzofuran-5-yl)methyl)-5-nitro-1H-benzo[d]imidazol-1-yl)-N,N-diethylethan-1-amine | 暂无 | Ethyleneoxynitazene | CCN(CC)CCN1C(CC2=CC=C3OCCC3=C2)=NC2=CC([N+](=O)[O-])=CC=C21 |
| 12 | 1-(苯并呋喃-6-基)-2-丙胺 | 1-(Benzofuran-6-yl)propan-2-amine | 286834-85-3 | 6-APB | CC(N)CC1=CC=C2C=COC2=C1 |
| 13 | 1-(苯并呋喃-5-基)-2-丙胺 | 1-(Benzofuran-5-yl)propan-2-amine | 286834-81-9 | 5-APB | CC(N)CC1=CC=C2OC=CC2=C1 |
| 14 | 甲基烯丙基麦司卡林 | 2-(3,5-Dimethoxy-4-((2-methylallyl)oxy)phenyl)ethan-1-amine | 207740-41-8 | Methallylescaline | C=C(C)COC1=C(OC)C=C(CCN)C=C1OC |
| 15 | 乙基麦司卡林 | 2-(4-Ethoxy-3,5-dimethoxyphenyl)ethan-1-amine | 39201-82-6 | Escaline | CCOC1=C(OC)C=C(CCN)C=C1OC |
| 16 | 丙基麦司卡林 | 2-(3,5-Dimethoxy-4-propoxyphenyl)ethan-1-amine | 39201-78-0 | Proscaline | CCCOC1=C(OC)C=C(CCN)C=C1OC |
| 17 | 2-氟乙基苯丙胺 | N-Ethyl-1-(2-fluorophenyl)propan-2-amine | 3823-29-8 | 2-FEA | CCNC(C)CC1=C(F)C=CC=C1 |
| 18 | 3-氟乙基苯丙胺 | N-Ethyl-1-(3-fluorophenyl)propan-2-amine | 725676-94-8 | 3-FEA | CCNC(C)CC1=CC=CC(F)=C1 |
| 19 | 4-氟乙基苯丙胺 | N-Ethyl-1-(4-fluorophenyl)propan-2-amine | 3823-30-1 | 4-FEA | CCNC(C)CC1=CC=C(F)C=C1 |
| 20 | 1-[1-(4-甲氧基苯基)环己基]哌啶 | 1-(1-(4-Methoxyphenyl)cyclohexyl)piperidine | 2201-35-6 | 4-MeO-PCP | COC1=CC=C(C2(N3CCCCC3)CCCCC2)C=C1 |
| 21 | 2-乙氨基-2-苯基环己酮 | 2-(Ethylamino)-2-phenylcyclohexan-1-one | 6740-82-5 | 2-oxo-PCE | CCNC1(C2=CC=CC=C2)CCCCC1=O |
| 22 | 3-[1-(哌啶-1-基)环己基]苯酚 | 3-(1-(Piperidin-1-yl)cyclohexyl)phenol | 79787-43-2 | 3-HO-PCP | OC1=CC(C2(N3CCCCC3)CCCCC2)=CC=C1 |
| 23 | 溴胺酮 | 2-(2-Bromophenyl)-2-(methylamino)cyclohexan-1-one | 120807-70-7 | 2-BDCK | CNC1(C2=C(Br)C=CC=C2)CCCCC1=O |
| 24 | 2-乙氨基-2-(2-氟苯基)环己酮 | 2-(Ethylamino)-2-(2-fluorophenyl)cyclohexan-1-one | 2850352-64-4 | 2-FXE | CCNC1(C2=C(F)C=CC=C2)CCCCC1=O |
| 25 | 甲基胺酮 | 2-(Methylamino)-2-(2-methylphenyl)cyclohexan-1-one | 7063-37-8 | 2-MDCK | CNC1(C2=C(C)C=CC=C2)CCCCC1=O |
| 26 | 2-乙氨基-2-(3-甲基苯基)环己酮 | 2-(Ethylamino)-2-(3-methylphenyl)cyclohexan-1-one | 2666932-45-0 | DMXE | CCNC1(C2=CC(C)=CC=C2)CCCCC1=O |
| 27 | 1-(4-氟-3-甲基苯基)-2-(吡咯烷-1-基)-1-戊酮 | 1-(4-Fluoro-3-methylphenyl)-2-(pyrrolidin-1-yl)pentan-1-one | 暂无 | 4-F-3-MPVP | CCCC(C(=O)C1=CC=C(F)C(C)=C1)N1CCCC1 |
| 28 | 1-[3,4-(亚甲二氧基)苯基]-2-二甲氨基-1-戊酮 | 1-(3,4-Methylenedioxyphenyl)-2-(dimethylamino)pentan-1-one | 803614-36-0 | Dipentylone | CCCC(C(=O)C1=CC=C2OCOC2=C1)N(C)C |
| 29 | 1-[3,4-(亚甲二氧基)苯基]-2-环己基氨基-1-丙酮 | 1-(3,4-Methylenedioxyphenyl)-2-(cyclohexylamino)propan-1-one | 2972185-69-4(盐酸盐) | N-Cyclohexylmethylone | CC(NC1CCCCC1)C(=O)C1=CC=C2OCOC2=C1 |
| 30 | 1-[3,4-(亚甲二氧基)苯基]-2-丁氨基-1-丁酮 | 1-(3,4-Methylenedioxyphenyl)-2-(butylamino)butan-1-one | 暂无 | N-Butylbutylone | CCCCNC(CC)C(=O)C1=CC=C2OCOC2=C1 |
| 31 | 1-[3,4-(亚甲二氧基)苯基]-2-丙氨基-1-丁酮 | 1-(3,4-Methylenedioxyphenyl)-2-(propylamino)butan-1-one | 802286-81-3 | N-Propylbutylone | CCCNC(CC)C(=O)C1=CC=C2OCOC2=C1 |
| 32 | 4-甲基-1-苯基-2-(吡咯烷-1-基)-1-戊酮 | 4-Methyl-1-phenyl-2-(pyrrolidin-1-yl)pentan-1-one | 2181620-71-1 | α-PiHP | CC(C)CC(C(=O)C1=CC=CC=C1)N1CCCC1 |
| 33 | 2-(仲丁基氨基)-1-苯基-1-戊酮 | 2-(sec-Butylamino)-1-phenylpentan-1-one | 18296-64-5 | N-sec-Butylpentedrone | CCCC(NC(C)CC)C(=O)C1=CC=CC=C1 |
| 34 | 环丙甲酰麦角酰二乙胺 | (6aR,9R)-4-(Cyclopropanecarbonyl)-N,N-diethyl-7-methyl-4,6,6a,7,8,9-hexahydroindolo[4,3-fg]quinoline-9-carboxamide | 2767597-50-0 | 1cP-LSD | CCN(CC)C(=O)[C@@H]1C=C2C3=CC=CC4=C3C(=CN4C(=O)C3CC3)C[C@H]2N(C)C1 |
| 35 | 戊酰麦角酰二乙胺 | (6aR,9R)-N,N-Diethyl-7-methyl-4-pentanoyl-4,6,6a,7,8,9-hexahydroindolo[4,3-fg]quinoline-9-carboxamide | 3028950-70-8 | 1V-LSD | CCCCC(=O)N1C=C2C[C@@H]3C(=C[C@@H](C(=O)N(CC)CC)CN3C)C3=CC=CC1=C23 |
| 36 | 丙酰麦角酰二乙胺 | (6aR,9R)-N,N-Diethyl-7-methyl-4-propionyl-4,6,6a,7,8,9-hexahydroindolo[4,3-fg]quinoline-9-carboxamide | 2349358-81-0 | 1P-LSD | CCC(=O)N1C=C2C[C@@H]3C(=C[C@@H](C(=O)N(CC)CC)CN3C)C3=CC=CC1=C23 |
| 37 | N-甲基-N-异丙基-4-羟基色胺 | 3-(2-(Isopropyl(methyl)amino)ethyl)-1H-indol-4-ol | 77872-43-6 | 4-HO-MiPT | CC(C)N(C)CCC1=CNC2=CC=CC(O)=C12 |
| 38 | N,N-二甲基-4-乙酰氧基色胺 | 3-(2-(Dimethylamino)ethyl)-1H-indol-4-yl acetate | 92292-84-7 | 4-AcO-DMT | CC(=O)OC1=C2C(CCN(C)C)=CNC2=CC=C1 |
| 39 | 波玛唑仑 | 8-Bromo-1-methyl-6-phenyl-4H-benzo[f][1,2,4]triazolo[4,3-a][1,4]diazepine | 71368-80-4 | Bromazolam | CC1=NN=C2CN=C(C3=CC=CC=C3)C3=CC(Br)=CC=C3N12 |
| 40 | 氟溴西泮 | 7-Bromo-5-(2-fluorophenyl)-1,3-dihydro-2H-benzo[e][1,4]diazepin-2-one | 2647-50-9 | Flubromazepam | O=C1CN=C(C2=C(F)C=CC=C2)C2=CC(Br)=CC=C2N1 |
| 41 | 卡痛 | Mitragyna speciosa | 无 | Kratom | |
| 42 | 帽柱木碱 | (E)-Methyl 2-((2S,3S,12bS)-3-ethyl-8-methoxy-1,2,3,4,6,7,12,12b-octahydroindolo[2,3-a]quinolizin-2-yl)-3-methoxyacrylate | 4098-40-2 | Mitragynine | CC[C@@H]1CN2CCC3=C(NC4=CC=CC(OC)=C34)[C@@H]2C[C@@H]1/C(=C\OC)C(=O)OC |
| 43 | 7-羟基帽柱木碱 | (E)-Methyl 2-((2S,3S,7aS,12bS)-3-ethyl-7a-hydroxy-8-methoxy-1,2,3,4,6,7,7a,12b-octahydroindolo[2,3-a]quinolizin-2-yl)-3-methoxyacrylate | 174418-82-7 | 7-HydroxyMitragynine | CC[C@@H]1CN2CC[C@@]3(O)C(=NC4=CC=CC(OC)=C43)[C@H]2C[C@@H]1/C(=C\OC)C(=O)OC |
| 44 | 美托咪酯 | Methyl 1-(1-phenylethyl)-1H-imidazole-5-carboxylate | 5377-20-8 | Metomidate | COC(=O)C1=CN=CN1C(C)C1=CC=CC=C1 |
| 45 | 异丙帕酯 | Isopropyl 1-(1-phenylethyl)-1H-imidazole-5-carboxylate | 792842-51-4 | Isopropoxate | CC(C)OC(=O)C1=CN=CN1C(C)C1=CC=CC=C1 |
| 46 | 丙帕酯 | Propyl 1-(1-phenylethyl)-1H-imidazole-5-carboxylate | 7036-58-0 | Propoxate | CCCOC(=O)C1=CN=CN1C(C)C1=CC=CC=C1 |
十六、尼秦类物质和三氟乙咪酯等 12 种物质列入《非药用类麻醉药品和精神药品管制品种增补目录》(2025 年 7 月 1 日起实施)【12 种+整类】
一、尼秦类物质。“尼秦类物质”是指化学结构与依托尼秦(2-[2-(4-乙氧基苄基)-5-硝基-1H-苯并咪唑-1-基]-N,N-二乙基-1-乙胺)相比,符合以下一个或多个条件的物质:
(一)使用取代或未取代的 1H-苯并咪唑基替代 5-硝基-1H-苯并咪唑基;
(二)使用取代或未取代的 C1-C2 烃基替代 1H-苯并咪唑基与苯基之间的亚甲基;
(三)使用取代或未取代的芳香基团替代 4-乙氧基苯基;
(四)使用取代或未取代的氨基替代 N,N-二乙基氨基。
上述所列管物质如果发现医药、工业、科研或者其他合法用途,按照《非药用类麻醉药品和精神药品列管办法》第三条第二款规定予以调整。已列入《麻醉药品和精神药品品种目录》和《非药用类麻醉药品和精神药品管制品种增补目录》的尼素类物质依原有目录予以管制。
二、三氟乙咪酯等 12 种物质。(详见附表)
本公告自 2024 年 7 月 1 日起施行。
附表: 非药用类麻醉药品和精神药品管制品种增补目录
表格
| 序号 | 中文名 | 英文名 | CAS号 | 备注 | 结构式 |
| 1 | 三氟乙咪酯 | 2,2,2-trifluoroethyl 3-[(1R)-1-phenylethyl]imidazole-4-carboxylate | 2169968-54-9 | TF-Etomidate | C[C@H](C1=CC=CC=C1)N1C=NC=C1C(=O)OCC(F)(F)F |
| 2 | 丁托咪酯 | butyl 3-[(1R)-1-phenylethyl]imidazole-4-carboxylate | 112367-53-0 | Butomidate | CCCCOC(=O)C1=CN=CN1[C@H](C)C1=CC=CC=C1 |
| 3 | 仲丁咪酯 | butan-2-yl 3-[(1R)-1-phenylethyl]imidazole-4-carboxylate | 暂无 | sec-Butomidate | CCC(C)OC(=O)C1=CN=CN1[C@H](C)C1=CC=CC=C1 |
| 4 | 异丁咪酯 | 2-methylpropyl 3-[(1R)-1-phenylethyl]imidazole-4-carboxylate | 暂无 | Isobutomidate | CC(C)COC(=O)C1=CN=CN1[C@H](C)C1=CC=CC=C1 |
| 5 | 4-氟依托咪酯 | ethyl 3-[1-(4-fluorophenyl)ethyl]imidazole-4-carboxylate | 84962-75-4 | 4F-Etomidate | CCOC(=O)C1=CN=CN1C(C)C1=CC=C(F)C=C1 |
| 6 | 甲氧羰基环丙咪酯 | (1-methoxycarbonylcyclopropyl)3-[(1R)-1-phenylethyl]imidazole-4-carboxylate | 1446482-29-6 |
ABP-700 | COC(=O)C1(OC(=O)C2=CN=CN2[C@H](C)C2=CC=CC=C2)CC1 |
| 7 | 2,6-二氯-3-氟依托咪酯 | Ethyl-1-(1-(2,6-dichloro-3-fluorophenyl)ethyl)-1H-imidazole-5-carboxylate | 暂无 | 2,6-diCl-3F-Etomidate | CCOC(=O)C1=CN=CN1[C@H](C)C1=C(Cl)C=CC(F)=C1Cl |
| 8 | 1-[3,4-(亚甲二氧基)苯基]-2-异丙氨基-1-丁酮 | 1-(1,3-benzodioxol-5-yl)-2-(propan-2-ylamino)butan-1-one | 801171-25-5 | N-Isopropylbutylone | CCC(NC(C)C)C(=O)C1=CC=C2OCOC2=C1 |
| 9 | 噻吩丙胺 | 1-thiophen-2-ylpropan-2-amine | 30433-93-3 | Thienoamphetamine | CC(N)CC1=CC=CS1 |
| 10 | 1-[1-(3-甲氧基苯基)环己基]吡咯烷 | 1-[1-(3-methoxyphenyl)cyclohexyl]pyrrolidine | 1364933-79-8 | 3-MeO-PCPy | COC1=CC=CC(C2(N3CCCC3)CCCCC2)=C1 |
| 11 | 2-苯基-2-丙氨基环己酮 | 2-phenyl-2-(propylamino)cyclohexan-1-one | 7015-53-4 | 2-oxo-PCPr | CCCNC1(C2=CC=CC=C2)CCCCC1=O |
| 12 | 六氢大麻酚 | 6,6,9-trimethyl-3-pentyl-6a,7,8,9,10,10a-hexahydrobenzo[c]chromen-1-ol | 6692-85-9 | hexahydrocannabinol(HHC) | CCCCCC1=CC(O)=C2C(=C1)OC(C)(C)C1CCC(C)CC21 |
Benzyl titanium